Из алюминиевой проволоки изготовили модель куба, на что потребовалось 60 см проволоки. Чему равна длина ребра куба? Из алюминиевой проволоки изготовили модель куба, на что потребовалось 60 см проволоки. Чему равна длина ребра куба? Из алюминиевой проволоки изготовили модель куба, на что потребовалось 60 см проволоки. Чему равна длина ребра куба? Из алюминиевой проволоки изготовили модель куба, на что потребовалось 60 см проволоки. Чему равна длина ребра куба? Из алюминиевой проволоки изготовили модель куба, на что потребовалось 60 см проволоки. Чему равна длина ребра куба? Из алюминиевой проволоки изготовили модель куба, на что потребовалось 60 см проволоки. Чему равна длина ребра куба?
Из алюминиевой проволоки изготовили модель куба, на что потребовалось 60 см проволоки. Чему равна длина ребра куба?
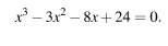
. Если уравнение имеет более одного корня, в ответе запишите больший из корней.
