kopilkaurokov.ru - сайт для учителей

Создайте Ваш сайт учителя Видеоуроки Олимпиады Вебинары для учителей

Самостоятельная работа «Решение пропорции», 6 класс

Нажмите, чтобы узнать подробности

Самостоятельная работа «Решение пропорции», 6 класс

Вы уже знаете о суперспособностях современного учителя?
Тратить минимум сил на подготовку и проведение уроков.
Быстро и объективно проверять знания учащихся.
Сделать изучение нового материала максимально понятным.
Избавить себя от подбора заданий и их проверки после уроков.
Наладить дисциплину на своих уроках.
Получить возможность работать творчески.

Просмотр содержимого документа
«Самостоятельная работа «Решение пропорции», 6 класс»

Самостоятельная работа «Решение пропорции» (20 мин), 6 класс


Цель работы: проверить навыки решения пропорции, составления пропорции и решения задач на составление пропорции.


Вариант 1


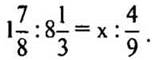
1. Найдите неизвестный член пропорции: 

2. На 20 км пути автомашина расходует   л горючего. Сколько горючего автомашина израсходует на 50 км пути?

3. Для отопления здания заготовлено угля на 180 дней при норме расхода 0,6 т угля в день. На сколько дней хватит этого запаса, если его расходовать ежедневно по 0,5 т?

4. Напишите все двузначные числа, для записи которых употребляются только цифры 0, 1, 3, 5, и подчеркните те из них, которые кратны 3.


Вариант 2


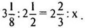
1. Найдите неизвестный член пропорции: 

2. На изготовление 8 деталей требуется   г серебра. Сколько серебра потребуется на изготовление 12 таких деталей?

3. 24 человека за 6 дней пропололи участок клубники. За сколько дней выполнят ту же работу 36 человек, если будут работать с такой же производительностью?

4. Напишите все двузначные числа, для записи которых употребляются только цифры 0, 4, 6, 6, и подчеркните те из них, которые кратны 3.




Получите в подарок сайт учителя

Предмет: Математика

Категория: Прочее

Целевая аудитория: 6 класс

Скачать
Самостоятельная работа «Решение пропорции», 6 класс

Автор: Сабирзянова Елена Васильевна

Дата: 17.01.2026

Номер свидетельства: 680653

Похожие файлы

object(ArrayObject)#865 (1) {
  ["storage":"ArrayObject":private] => array(6) {
    ["title"] => string(122) "Самостоятельная работа по математике в 6 классе на тему:"Пропорция""
    ["seo_title"] => string(68) "samostoiatelnaia_rabota_po_matematike_v_6_klasse_na_temu_proportsiia"
    ["file_id"] => string(6) "489681"
    ["category_seo"] => string(10) "matematika"
    ["subcategory_seo"] => string(5) "uroki"
    ["date"] => string(10) "1544343692"
  }
}
object(ArrayObject)#887 (1) {
  ["storage":"ArrayObject":private] => array(6) {
    ["title"] => string(83) "урок на тему: "Виды задач на пропорции" 6 класс "
    ["seo_title"] => string(47) "urok-na-tiemu-vidy-zadach-na-proportsii-6-klass"
    ["file_id"] => string(6) "226369"
    ["category_seo"] => string(10) "matematika"
    ["subcategory_seo"] => string(5) "uroki"
    ["date"] => string(10) "1440237006"
  }
}
object(ArrayObject)#865 (1) {
  ["storage":"ArrayObject":private] => array(6) {
    ["title"] => string(94) "план урока по теме: "Виды задач на пропорции" 6 класс "
    ["seo_title"] => string(54) "plan-uroka-po-tiemie-vidy-zadach-na-proportsii-6-klass"
    ["file_id"] => string(6) "226372"
    ["category_seo"] => string(10) "matematika"
    ["subcategory_seo"] => string(5) "uroki"
    ["date"] => string(10) "1440237473"
  }
}
object(ArrayObject)#887 (1) {
  ["storage":"ArrayObject":private] => array(6) {
    ["title"] => string(90) "Среднесрочное планирование по математике 6 класс"
    ["seo_title"] => string(55) "sriedniesrochnoie-planirovaniie-po-matiematikie-6-klass"
    ["file_id"] => string(6) "273816"
    ["category_seo"] => string(10) "matematika"
    ["subcategory_seo"] => string(12) "planirovanie"
    ["date"] => string(10) "1452272450"
  }
}
object(ArrayObject)#865 (1) {
  ["storage":"ArrayObject":private] => array(6) {
    ["title"] => string(74) "Пропорция. Основное свойство пропорции. "
    ["seo_title"] => string(41) "proportsiia-osnovnoie-svoistvo-proportsii"
    ["file_id"] => string(6) "159845"
    ["category_seo"] => string(10) "matematika"
    ["subcategory_seo"] => string(5) "uroki"
    ["date"] => string(10) "1421949703"
  }
}


Получите в подарок сайт учителя

Видеоуроки для учителей


ПОЛУЧИТЕ СВИДЕТЕЛЬСТВО МГНОВЕННО

Добавить свою работу

* Свидетельство о публикации выдается БЕСПЛАТНО, СРАЗУ же после добавления Вами Вашей работы на сайт

Удобный поиск материалов для учителей

Проверка свидетельства