kopilkaurokov.ru - сайт для учителей

Создайте Ваш сайт учителя Видеоуроки Олимпиады Вебинары для учителей

Математические парадоксы и софизмы

Нажмите, чтобы узнать подробности

В современном мире мы на каждом шагу сталкиваемся с обманом, мошенничеством. Приглашения на бессмысленные тренинги, семинары заполонили СМИ. Мы считаем, что очень важно научиться отличать ложь от истины и уметь противостоять манипуляциям со стороны других

Вы уже знаете о суперспособностях современного учителя?
Тратить минимум сил на подготовку и проведение уроков.
Быстро и объективно проверять знания учащихся.
Сделать изучение нового материала максимально понятным.
Избавить себя от подбора заданий и их проверки после уроков.
Наладить дисциплину на своих уроках.
Получить возможность работать творчески.

Просмотр содержимого документа
«Математические парадоксы и софизмы»

Математические парадоксы и софизмы Автор: Шиманова Татьяна Васильевна

В современном мире мы на каждом шагу сталкиваемся с обманом, мошенничеством. Приглашения на бессмысленные тренинги, семинары заполонили СМИ. Мы считаем, что очень важно научиться отличать ложь от истины и уметь противостоять манипуляциям со стороны других.

В нашем проекте речь пойдет о софизмах, парадоксах и об их главной составляющей – нарушении логики. А также мы постараемся ответить на следующие вопросы:

- В причины возникновения софизмов?

- Какие различают виды софизмов и парадоксов?

- Как их распознать и для чего это нужно?

Целью проекта является изучение информационных источников и научной литературы, их систематизирование, обработка и обобщение полученного материала по данной теме.

Задачи проекта:

1) собрать информацию о логических софизмах и парадоксах;

2) найти математические парадоксы и софизмы;

3) выяснить причины возникновения противоречий в рассуждениях и доказательствах;

4) провести ряд исследований на тему «решение софизмов как показатель интеллектуального уровня по гендерному признаку» в средних классах.

Нарушение логики

Главной составляющей парадоксов и софизмов является нарушение логики. Оно встречается везде, в первую очередь, конечно, в рассуждениях, но можно их порой увидеть в рисунках, в чертежах, в литературных произведениях, даже в научных работах и во многом другом. Например, в песенке сочиненной английскими студентами:

The more you study, the more you know.

The more you know, the more you forget.

The more you forget, the less you know.

The less you know, the more you forget.

The less you forget, the more you know.

So why study?

Чем больше учишься, тем больше знаешь.

Чем больше знаешь, тем больше забываешь.

Чем больше забываешь, тем меньше знаешь.

Чем меньше знаешь, тем меньше забываешь.

Но чем меньше забываешь, тем больше знаешь.

Так для чего учиться?

Мориц Эшер рисовал картины с элементами нарушения логики:

Рис. 1 «Рисующие руки» 1948г. Рис. 2 «Рептилия» 1943г.

Теперь более подробно рассмотрим парадоксы и софизмы.

Парадоксы

Парадоксом называется суждение, которое может доказать, что суждение одновременно является как ложным, так и истинным. Это явление разделяется на 2 вида: апория и антиномия.

Апория – появление вывода, который противоречит опыту. Примером служит парадокс, сформулированный Зеноном:

Быстроногий Ахиллес не в состоянии догнать черепаху, так как она при каждом последующем шаге будет отдаляться от него на некоторое расстояние, не давая ему догнать себя, ведь процесс деления отрезка пути бесконечен.

Поясним в чем тут дело:

Шаг Ахиллеса имеет какую-то величину, и он как минимум в 10 раз больше шага черепахи. Шаг – ненулевая величина, иначе герои не двигаются, что противоречит условию задачи. Через некоторое время после начала забега расстояние между участниками сократится до величины, равной разности шага Ахиллеса и шага черепахи. Следующим шагом Ахиллес ее догонит, т. к. он сделает больше шаг, нежели черепаха.

Антиномия – это парадокс, предполагающий наличие двух взаимоисключающих суждений, которые одновременно истинны. Например:

Фраза «я лгу», может являться как истиной, так и ложью, но если это правда, то человек, произносящий ее, говорит истину и не считается лжецом, хотя фраза подразумевает обратное.

Итак, парадокс – это противоречие, которое возникает в ходе рассуждений, важно отметить, что появляется оно само собой, то есть непреднамеренно.

Математические парадоксы

Существуют парадоксы в математике. И вот, действительно, самое парадоксальное – это то, что в математике вообще есть парадоксы. Например:

Парадокс бесконечно малых величин

Бесконечно малые – это переменные величины, стремящиеся к пределу, равному нулю. Проблема состояла в их туманном понимании: то они рассматриваются как числа равные нулю, то как ему неравные. Люди рассматривали их как постоянные величины. Тогда из этого названия таких величин следует, что бесконечное является чем-то завершенным.

Кризис перестал быть таковым после создания теории пределов в начале XIX века французским математиком Огюстеном Луи Коши (1789 – 1857). С того момента бесконечно малые величины рассматриваются как постоянно изменяющиеся, а не постоянные, стремящиеся к пределу, но никогда его не достигающие. Постоянно изменяющиеся числа!

Софизм

Слово «софизм» красивое и весьма необычное, к тому же его мы не употребляем в повседневной жизни, поэтому некоторые люди не знают, что оно означает, а, порой, и впервые слышат. Углубимся в историю и выясним: что такое «софизмы»? и откуда к нам пришел этот интересный термин?

Софизмы были замечены еще в древности. В переводе с греческого дословно оно означает: уловка, выдумка или мастерство.

Что же такое софизм? Софизм – утверждение, являющееся ложным, но не лишенным элемента логики, за счет чего при поверхностном взгляде на него, оно кажется верным. В отличие от парадокса, в софизме ошибка сделана специально, но скрыта, якобы, под правильным действием. А почему они появляются?

Причины появления софизмов

К психологическим причинам софизмов относят интеллект человека, его эмоциональность и степень внушаемости. То есть более умному человеку достаточно завести своего оппонента в тупик, чтобы тот согласился с предложенной ему точкой зрения.

Чем более убедительной будет речь человека, тем больше шанс, что окружающие не заметят ошибок в его словах. На это и рассчитывают многие из тех, кто пользуется такими приемами в споре.

Развитая интеллектуальная личность имеет возможность следить не только за своей речью, но еще и за каждым аргументом собеседника, обращая при этом свое внимание на аргументы, приводимые собеседником. Такого человека отличает больший объем внимания, умение искать ответ на неизвестные вопросы вместо следования заученным шаблонам, а также большой активный словарный запас, при помощи которого мысли выражаются наиболее точно.

Объем знаний тоже имеет немаловажное значение. Умелое применение такого вида нарушений, как софизмы в математике, недоступно малограмотному и не развивающемуся человеку.

Во время обсуждения точек зрения происходит воздействие не только на разум и чувства, но еще и на волю. Уверенный в себе и напористый человек с большим успехом отстоит свою точку зрения, даже если та была сформулирована с нарушением логики. Особенно сильно такой прием действует на большие скопления людей, подверженных эффекту толпы и не замечающих софизм. Что это дает оратору? Возможность убедить практически в чем угодно. Еще одной особенностью поведения, позволяющей победить в споре при помощи софизма, является активность. Чем более пассивен человек, тем больше шансов убедить его в своей правоте.

Какой можно из этого сделать вывод? Эффективность софистских высказываний зависит от особенностей обоих людей, задействованных в разговоре. При этом эффекты всех рассмотренных качеств личности складываются и влияют на исход обсуждения проблемы.

Математические софизмы

Математические софизмы относятся к сложным софизмам. При разборе математических софизмов выделяются основные ошибки:

1) деление на 0;

2) неправильные выводы из равенства дробей;

3) неправильное извлечение квадратного корня из квадрата выражения;

4) нарушения правил действия с именованными величинами;

5) путаница с понятиями «равенства» и «эквивалентность» в отношении множеств;

6) проведение преобразований над математическими объектами, не имеющими смысла;

7) неравносильный переход от одного неравенства к другому;

8) выводы и вычисления по неверно построенным чертежам;

9) ошибки, возникающие при операциях с бесконечными рядами и предельным переходом.

Алгебраические софизмы

Алгебраические софизмы – намеренно скрытые ошибки в уравнениях и числовых выражениях. Рассмотрим несколько примеров:

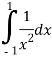
1) Рассмотрим интеграл

Так как функция положительна на всей своей области определения, то значение интеграла должно быть положительным.

Воспользуемся формулой Ньютона-Лейбница:

Где ошибка?

Рис. 3

1) – ни что иное как гипербола, но так как , то график расположен в первой и во второй четвертях координатной плоскости

2) Теперь перейдем к пределам; на графике видно, что подынтегральная функция на отрезке [-1;1] прерывается

Формулу Ньютона-Лейбница можно использовать только на том отрезке, где график функции непрерывен.

Геометрические софизмы

Геометрические софизмы – это умозаключения или рассуждения, обосновывающие какую-нибудь заведомую нелепость, абсурд или парадоксальное утверждение, связанное с геометрическими фигурами и действиями над ними. Например:

«Через точку на прямую можно опустить два перпендикуляра»

Возьмем треугольник ABC . На сторонах АВ и ВС этого треугольника, как на диаметрах, построим полуокружности. Пусть эти полуокружности пересекаются со стороной АС в точках Е и D. Соединим точки Е и D прямыми с точкой В. Угол АЕВ прямой, как вписанный, опирающийся на диаметр; угол ВDC также прямой. Следовательно, BE ⊥ AC и BD ⊥ AC. Через точку В проходят два перпендикуляра к прямой АС.

В чем ошибка?

В своих рассуждениях, о том, что из точки на прямую можно опустить два перпендикуляра, мы опирались на ошибочный чертеж. В действительности полуокружности пересекаются со стороной АС в одной точке, т.е. ВЕ совпадает с ВD. Значит, из одной точки, не лежащей на данной прямой, нельзя опустить два перпендикуляра к этой прямой.

Решение математических софизмов не только развивает логику, но и внимательность, способствует тому, что ученик меньше совершает ошибок, а если и совершает, то при проверке вероятность того, что он найдет свою ошибку, становится больше.

Исследование

Нами было проведено исследование на тему «решение софизмов как показатель интеллектуального уровня по гендерному признаку»: мы предложили ученикам двух шестых классов найти ошибку в софизме «5=6» с целью определить способны ли учащиеся распознавать неверные утверждения, представленные как логическое объяснение. Суть софизма заключалась в следующем:

Возьмем верное числовое тождество:

35 + 10 - 45 = 42 + 12 - 54

Вынесем общие множители левой и правой частей за скобки. Получим:

5(7 + 2 - 9) = 6(7 + 2 - 9).

Разделим обе части этого равенства на общий множитель (заключенный в скобки).

Получаем

5 = 6.

В чем ошибка?

Выражение в скобках равно нулю

На ноль делить нельзя!

Результаты были таковы:

Из 57 человек «Не знаю»,- ответили 38, неправильный ответ дали 27 человек, правильный – 2 мальчика.

С чем может быть связан такой низкий показатель?

Возможно, из-за столь юного возраста, дети рассредоточены, невнимательны и очень доверчивы, что отразилось на результатах.

Опираясь на итоги исследования, можно сделать вывод, что у мальчиков лучше развито логическое мышление. Однако несколько девочек были близки к верному ответу, но им не хватило точности, определенности. В результате их ответ нельзя считать верным. Это говорит о том, что мальчики, как правило, могут более точно выражать свои мысли.

Заключение

Работа над софизмами и парадоксами – это тренировка мышления и логики. Она способствует мозговой деятельности. Человек уверенно и быстро ориентируется в жизненных ситуациях, требующих принятия верного решения, умеет отстаивать свое мнение. Таких людей нелегко обмануть, вовлечь в какие-либо махинации финансового или иного характера. Оттачивается острота ума, умение четко и точно формулировать свои мысли, отличать заблуждения от реальности.

Литература:

  1. Брутян Г., Паралогизм, софизм и парадокс//Вопросы философии, 1959.

  2. Мартин Гарднер. Математические головоломки и развлечения. М.: Оникс, 1994.

  3. Гаврилова Т. Д. Занимательная математика. 2008.

  4. http://fb.ru

  5. http://nsportal.ru

  6. http://festival.1september.ru

  7. http://mathemlib.ru






Получите в подарок сайт учителя

Предмет: Математика

Категория: Прочее

Целевая аудитория: 11 класс

Скачать
Математические парадоксы и софизмы

Автор: Шиманова Татьяна Васильевна

Дата: 08.11.2025

Номер свидетельства: 676776

Похожие файлы

object(ArrayObject)#853 (1) {
  ["storage":"ArrayObject":private] => array(6) {
    ["title"] => string(159) "О программе  факультативного курса для 6 класса  «За страницами учебников математики». "
    ["seo_title"] => string(89) "o-proghrammie-fakul-tativnogho-kursa-dlia-6-klassa-za-stranitsami-uchiebnikov-matiematiki"
    ["file_id"] => string(6) "220748"
    ["category_seo"] => string(10) "matematika"
    ["subcategory_seo"] => string(7) "prochee"
    ["date"] => string(10) "1434825923"
  }
}


Получите в подарок сайт учителя

Видеоуроки для учителей


Распродажа видеоуроков!
ПОЛУЧИТЕ СВИДЕТЕЛЬСТВО МГНОВЕННО

Добавить свою работу

* Свидетельство о публикации выдается БЕСПЛАТНО, СРАЗУ же после добавления Вами Вашей работы на сайт

Удобный поиск материалов для учителей

Проверка свидетельства