kopilkaurokov.ru - сайт для учителей
Файл удален или неудачно загружен. Попробуйте загрузить файл повторно

Создайте Ваш сайт учителя Видеоуроки Олимпиады Вебинары для учителей

Проект: "Применение преобразований графиков функций в задании 11 из профильного уровня ЕГЭ "

Нажмите, чтобы узнать подробности

Графическое исследование преобразований различных графиков. Выполнение  11 задания  из Егэ.

Вы уже знаете о суперспособностях современного учителя?
Тратить минимум сил на подготовку и проведение уроков.
Быстро и объективно проверять знания учащихся.
Сделать изучение нового материала максимально понятным.
Избавить себя от подбора заданий и их проверки после уроков.
Наладить дисциплину на своих уроках.
Получить возможность работать творчески.

Просмотр содержимого документа
«Проект: "Применение преобразований графиков функций в задании 11 из профильного уровня ЕГЭ "»

Муниципальное автономное общеобразовательное учреждение

«Средняя общеобразовательная школа №15»









Проект по математике



Тема проекта:

«Применение преобразований графиков функций в задании 11

из профильного уровня ЕГЭ»



















Автор проекта:

Нуриманов Никита

Класс 10А

Руководитель проекта:

Дюкшина Наталья Валерьевна







Пос.Третий Северный

2024


Оглавление

«Применение преобразований графиков функций в задании 11 1

из профильного уровня ЕГЭ» 1

Введение 3

Раздел 1. Основные методы преобразования графиков функций 5

1.1. Элементарных функций 5

1.2 Преобразование графиков функций 6

Раздел 2. Решение задания 11 из ЕГЭ профильного уровня используя знания по преобразованию графиков. 13

2.1. Линейная функция 13

2.2 . Квадратичная функция 16

2.3.Гипербола 19

2.4. Показательная функция 21

2.5. Логарифмическая функция 22

2.6 Комбинированные задачи . 23

Заключение 26

Список литературы 27



























Введение

В 2025 году мне предстоит сдать экзамен по профильной математике в формате ЕГЭ. Этот экзамен отличается особой сложностью и на порядок тяжелее для сдачи, чем базовый ЕГЭ по математике.

В данном проекте я буду рассматривать различные методы решения 11 задания из этого экзамена. Чтобы решить его, нужно знать как ведут себя графики функций при изменении различных параметров, в также ещё некоторую информацию. Решения, которые я буду иллюстрировать, и о которых буду рассказывать должны отвечать ряду требований:

-они должны быть максимально просты и лаконичны;

-эти методы должны гарантированно решать задачу;

-эти решения должны быть понятны широкому кругу учащихся средней школы;

Цель проекта:

- повторить и углубить знания шести функции: прямой, квадратичной функции, гиперболы, показательной и логарифмической функции.

- разобрать различные способы решения 11 задачи из предстоящего мне экзамена

Для достижения цели исследования мною были поставлены следующие задачи:

- повторить и углубить знания шести функций: прямой, квадратичной, гиперболы, показательной и логарифмической функции.

- привести примеры, как знания по преобразованию графиков помогает при решении 11 задания из ЕГЭ по профильной математике.

Объект исследования – графики прямой, квадратичной функции, гиперболы, показательной и логарифмической функции.

Предмет исследования – влияние различных параметров в функции на преобразование графиков функций.

Актуальность исследования. Разбор различных способов решения 11 задачи из ЕГЭ по профильной математике является актуальной темой проекта для меня, ученика 10 класса, а также учеников 11 класса, так как вскоре некоторым из нас предстоит пройти завершающий экзамен по профильной математике в формате ЕГЭ.

Гипотеза – знания по преобразованию графиков помогут при решении 11 задания из ЕГЭ профильного уровня.

Методы исследования: теоретический и практический анализ литературных источников, компьютерное моделирование, изучение и обобщение.

Практическая значимость моей работы заключается в использовании приобретенных знаний по данной теме в Государственном экзамене.































Раздел 1. Основные методы преобразования графиков функций 1.1. Элементарных функций

1.Линейная функция

Линейной функцией называется функция, которую можно задать формулой вида y = kx + b , где х – независимая переменная , k и b - некоторые числа. Представляет собой прямую, поэтому для построения необходимы всего 2 точки.

2. Квадратичная функция

Квадратичной функцией называется функция, которую можно записать формулой вида y = ax² + bx + c, где x – независимая переменная, a, b и c – некоторые числа, причем a≠0.

Графиком квадратичной функции является парабола – кривая, симметричная относительно прямой, проходящей через вершину параболы (вершиной параболы называется точка пересечения параболы с осью симметрии).

3.Гипербола

Гипербола — это график функции обратной пропорциональности, которая задается следующей формулой: y = k/x, где: x — независимая переменная, k — коэффициент пропорциональности. При этом k≠0. При k0 график расположен в 1 и 3 четвертях координатной плоскости (функция убывает), при k

4. Показательная функция

Показательная функция – это функция вида f (x) = a x, где: a – основание степени, при этом  a  0 и a ≠ 1, x – показатель степени.

5.Логарифмическая функция

Заданная формулой f(x) = loga x функция является логарифмической, где : основание a  должно быть строго положительным и, одновременно, не равным единице (a0, a≠1);

  • подлогарифмическое выражение или аргумент функции – больше нуля (x0).


1.2 Преобразование графиков функций

1. Умножение функции на положительное число .

Линейная функция

Квадратичная функция

Гипербола

Показательная функция

Логарифмическая функция

Вывод:

При умножении функции на число происходит растяжение функции вдоль оси OY или сжатие к оси OX. Если число k 1происходит растяжение по оси OY, если число от 0





2. Умножение функции на (-1)

Линейная функция

Квадратичная функция

Гипербола

Показательная функция

Логарифмическая функция


Вывод:

При умножении функции на -1 происходит симметричное отражение графика относительно оси OX.





3. Прибавление к функции числа

Линейная функция

Квадратичная функция

Гипербола

Показательная функция

Логарифмическая функция


Вывод: При прибавлении к функции числа происходит смещение каждой точки графика по оси ОY. При этом значение функции меняется на величину данного числа, а аргумент остается прежним . Из-за смещения каждой точки, на k или - k смещается и весь график.



4.Прибавление к аргументу числа ( х+2 или х-3)

Линейная функция

Квадратичная функция

Гипербола

Показательная функция

Логарифмическая функция




Вывод: При прибавлении к аргументу числа k происходит смещение каждой точки графика по оси ОХ. При этом аргумент меняется на величину данного числа, а значение функции остается прежним . Из-за смещения каждой точки, на k или - k смещается и весь график. Если k положительный – то сдвиг влево, если k отрицательный – вправо.







5.Умножение аргумента на число (2*х или 1/3*х)

Линейная функция

Квадратичная функция

Гипербола

Показательная функция

Логарифмическая функция


Вывод: Умножение аргумента на число k приводит к растяжению графика по оси OХ(0 .



Раздел 2. Решение задания 11 из ЕГЭ профильного уровня используя знания по преобразованию графиков. 2.1. Линейная функция

№1.



Для начала определим уравнение первой(оранжевой) прямой. Она проходит через точки (-2; 4) и (-1; -1).Коэффициент k= у/х=-5/1=-5

Подставим координаты одной точки(-2,4) и коэффициент k=-5 в уравнение линейной функции общего вида y = kx + b и найдем коэффициент b.

4=-5*(-2)+ b, b=-6

Таким образом, уравнение первой прямой – y = -5x – 6

Теперь определим уравнение второй(синей) прямой. Она проходит через точки (-1; 2) и (2; -1). Это стандартную функцию у=-х сдвинули по оси ОУ вверх на 1.Таким образом, уравнение второй прямой – y = -x +1.

Итак, имеем графики y = -5x – 6 и y = -x +1. Приравняем их значения y, решим уравнение.

-5x – 6 = -x + 1

-4x = 7

x = -1,75.

Таким образом, абсцисса точки пересечения графиков х = -1,75.



№2

Для начала определим уравнение первой прямой. Она проходит через точки (4,1) и (-4;-2).Коэффициент k= у/х=3/8=0,375

Подставим координаты одной точки(4,1) и коэффициент k=0,375 в уравнение линейной функции общего вида y = kx + b и найдем коэффициент b.

1=0,375*4+ b, b= - 0,5

Таким образом, уравнение прямой – y = 0,375x – 0,5

Подставим значение -10 вместо x, так как требуется найти f(-10).

y = 0,375 * (-10) – 0,5; y = -4,25. Таким образом, f(-10) = -4,25.















№3.

Для начала определим уравнение первой прямой. Она проходит через точки (-2,2) и (2;-5).Коэффициент k= у/х=-7/4=- 1,75

Подставим координаты одной точки(-2,2) и коэффициент k=-1,75 в уравнение линейной функции общего вида y = kx + b и найдем коэффициент b.

2=-1,75*(-2)+ b, b=-1,5

Таким образом, уравнение прямой – y = -1,75x – 1,5

Подставим значение 16 вместо y, так как требуется найти x при значении y, равном 16.

16 = -1,75x -1,5

x = -10























2.2 . Квадратичная функция

№1

Для начала определим значение коэффициента c. c – это точка пересечения графика с осью OY. c = -4. Парабола также проходит через 2 точки, а именно через (-2; -2) и (1; 1). Теперь найдем коэффициент b, составив уравнение с использованием любой из двух точек возьмем (1; 1):

1 = 2*1² + b*1 – 4

Решим уравнение: b = 3. Таким образом уравнение данной параболы: y = 2x2 + 3x – 4. Найдем f(-5) = 2*5²+3*(-5) -4, y = 31

Таким образом, f(-5) = 31.











№2

Для начала определим значение коэффициента c. c – это точка пересечения графика с осью OY. c = -4. Исходя из графика можно определить координаты точки вершины. В данном случае это (1,-6). Также, зная формулу вершины можно определить и коэффициент a по формуле: Xо=

Таким образом, 1=4/ 2*а, а=2 Итак, уравнение данной параболы:

y = 2*x2 – 4x – 4.

Найдём f(-3) = 2*(-3)² -4*(-3)-4=26

Таким образом, f(-3)=26.









№3.

Для начала определим значение коэффициента а, а=1. Зная формулу вершины можно определить и коэффициент b по формуле: Xо= . Вершина параболы имеет координаты

(-3,-5) . Таким образом, -3= -b / 2*1, b = 6.

Теперь найдем коэффициент с, составив уравнение с использованием любой из двух точек возьмем (-5; -1):

-1=1*(-5)²+6*(-5)+с

с=4.

Таким образом, имеем функцию вида: y = x2 + 6x + 4.

Найдем f(-9)=(-9)²+6*(-9)+4=31

Таким образом, f(-9) = 31.





2.3.Гипербола

№1

Из графика видно, что был выполнен параллельный перенос на один единичный отрезок вверх по оси ординат. Коэффициент а=1 .

Теперь найдем коэффициент k , составив уравнение с использованием выделенной точки с координатой (3; 2):

2= k/3 +1, k=3.

Таким образом, имеем функцию вида: f(x) = 3/x + 1

Найдем f(-12) = 3/-12 +1=0,75

Таким образом, f(-12) = 0,75.

№2

Из графика видно, что был выполнен параллельный перенос на один единичный отрезок влево по оси абсцисс. Коэффициент, а=1.

Теперь найдем коэффициент k , составив уравнение с использованием выделенной точки с координатой (2; 1):

1= k/(2+1), k=3.

Таким образом, имеем функцию вида: f(x) = 3/(x+1)

Найдем f(19) = 3/(19+1)=0,15

Таким образом, f(19) = 0,15.

№3

В данной функции есть параллельные переносы относительно OY, и относительно OX.

Выделим из функции f(x) целую часть.

Тогда, коэффициент k=1.



2.4. Показательная функция

№1

Для начала определим значение коэффициента b=-3

Подставим точку графика (2,1) в функцию y = ax + b, 1 = а² - 3 , а = 2.

Таким образом, имеем функцию вида: f(х)= 2 ͯ -3

Найдем f(6) =2⁶-3=61

Таким образом, f(6) = 61.

№2

Для начала определим значение коэффициента b=3.

Подставим точку графика (1,4) в функцию y = ax + b, 4 = а¹⁺³ , а = .

Таким образом, имеем функцию вида: f(х)= ( ) ͯ ⁺³

Найдем f(-7) = ⁻⁷⁺³ = 0,25

Таким образом, f(-7) = 0,25.

2.5. Логарифмическая функция

№1

Для начала найдем коэффицент b=-3 . Найдем две точки, координаты которых точно известны – это (2; -2) и (4; -1). Составим систему, подставив данные значения в функцию y = b + logaX.

-2=-3+ loga2; loga2=1;а=2

Составим конечной вид функции, исходя из коэффицентов, найденных по графику: y = -3 + log2X. Подставим в данную функцию 32 в качестве значения X.

Таким образом, f(32) = 2.











№2.



По графику можно сразу сказать, что b = 5, так как для графика выполнен параллельный перенос, вдоль оси OX на 5. И точка имеющая стандартные координаты для любой логарифмической функции(1; 0), теперь имеет координату (-4; 0). А при параллельном переносе любой функции влево вдоль оси OX, b 0. Теперь подставим в получившуюся функцию координаты любой точки графика(-1; 2). 2 = loga(-1 + 5). 2 = loga4. loga4 = 2. a = 2. y = log2(x + 5). Теперь подставим 11 в качестве значения x. y = log216. y = 4. Таким образом, f(11) = 4

2.6 Комбинированные задачи .

1.

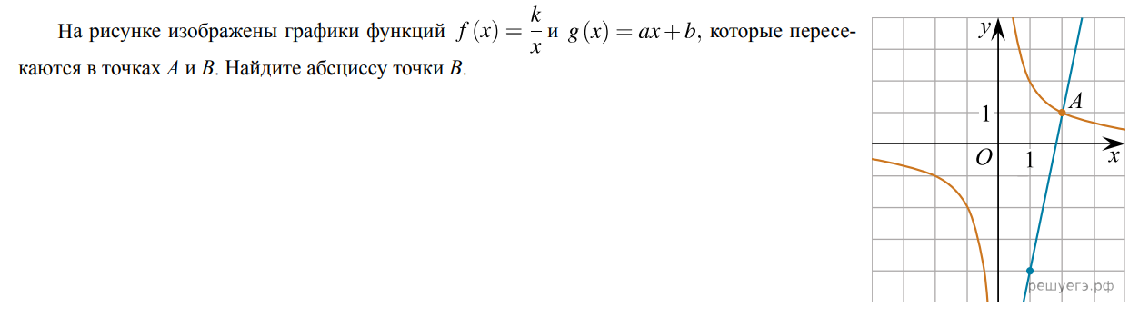
Определим коэффицент k гиперболы: подставим координаты точки, выделенной автором, в функцию f(x). 1 = k / 2. k = 2. Итак, функция данной гиперболы имеет вид y = .

Прямая коэффициент k=5/1=5,Она проходит через точки (2; 1) и (1; -4)

Подставим эти значения в уравнение линейной функции общего вида и решим уравнение. 1=5*2+ b, b=-9.Итак уравнения прямой у= 5х-9

Теперь необходимо найти абсциссы их точек пересечения. Для этого найдём точки, где их значения y будут совпадать, значит в этой же точке они совпадут и по x. 5x – 9 = . Решив квадратное уравнение, получим решения: x1 = -0,2 x2 = 2. X2 – это как раз точка, которую обозначил автор. А X1 – это абсцисса точки, которая за пределами рисунка, то есть точки B. Ответ: -0,2

2.

Данная парабола проходит через 2 точки. А именно через (-2; -2) и (1; 1).

Коэффициент с=-4

Составим систему с использованием координат данных точек.

-2=а*(-2)²+b*(-2) -4

1= а*1²+b*1 -4

Решим её методом вычитания и получим: а= 2,b= 3.

Получим функцию y = 2x2 + 3x – 4.

Теперь найдём уравнение для прямой. Коэффициент k=4/1=4

Она проходит через точки (-2; -2) и (-1; 2)

Подставим эти значения в уравнение линейной функции общего вида и решим уравнение. -2 = 4*(-2) + b, b= 6.

Таким образом, уравнение прямой y = 4x + 6.

Теперь необходимо найти абсциссы их точек пересечения. Для этого найдём точки, где их значения y будут совпадать, значит в этой же точке они совпадут и по x.

2x2 + 3x – 4 = 4x + 6. 2x2 – x – 10 = 0. x1 = 2,5 x2 = -8 / 4 = -2. X1 – это как раз точка, которую обозначил автор. А X2 – это абсцисса точки, которая за пределами рисунка., то есть точки B. Ответ: 2,5



































Заключение

Таким образом, гипотеза, выдвинутая в начале исследования, подтвердилась на практике. Исследования по преобразованию функции, помогли мне быстро ориентироваться в графиках при практической работе в задании №11 в профильной математике. Использование компьютерной программы Drofa DOS значительно сократило время, которое я мог потратить при исследовании прямой, параболы, гиперболы, показательной и логарифмической функции при помощи ручки и листа бумаги. Также благодаря функции «Анимация» очень удобно и легко отследить «поведение» параболы при изменения параметров a, b, c.

В процессе исследования я углубил свои знания о преобразованиях графиков , самостоятельно изучил и применил на практике возможности программы Drofa DOS.Разобрался с экзаменационными заданиями связанными с графиками.

Для многих людей математика является трудной и непонятной, но я считаю, что если подробнее изучить математические понятия, то математика становится интересной, а наши знания более осмысленными и глубокими.

Приобретенные в ходе исследования знания пригодятся мне при подготовке к Основному Государственному экзамену по математике.






















Список литературы

1. Дороднов А.М., Острецов И.Н. 1972.-Графики функций. (obuchalka.org)

2. Райхмист Р. Б. Графики функций: Справочное пособие для вузов ОНЛАЙН (uch-lit.ru)

3. Ромашкова Е.В. (11klasov.net)-Функции и графики в 8-11 классах






5




Получите в подарок сайт учителя

Предмет: Алгебра

Категория: Прочее

Целевая аудитория: 10 класс

Автор: Дюкшина Наталья Валерьевна

Дата: 28.09.2025

Номер свидетельства: 674862

Похожие файлы

object(ArrayObject)#876 (1) {
  ["storage":"ArrayObject":private] => array(6) {
    ["title"] => string(107) "Программа элективного курса "Решение задач с параметрами" "
    ["seo_title"] => string(64) "proghramma-eliektivnogho-kursa-rieshieniie-zadach-s-paramietrami"
    ["file_id"] => string(6) "157156"
    ["category_seo"] => string(10) "matematika"
    ["subcategory_seo"] => string(5) "uroki"
    ["date"] => string(10) "1421562791"
  }
}


Получите в подарок сайт учителя

Видеоуроки для учителей


ПОЛУЧИТЕ СВИДЕТЕЛЬСТВО МГНОВЕННО

Добавить свою работу

* Свидетельство о публикации выдается БЕСПЛАТНО, СРАЗУ же после добавления Вами Вашей работы на сайт

Удобный поиск материалов для учителей

Проверка свидетельства