kopilkaurokov.ru - сайт для учителей

Создайте Ваш сайт учителя Видеоуроки Олимпиады Вебинары для учителей

Урок-закрепление по теме «Противоположные числа», 6 класс

Нажмите, чтобы узнать подробности

Урок-закрепление по теме «Противоположные числа», 6 класс

Вы уже знаете о суперспособностях современного учителя?
Тратить минимум сил на подготовку и проведение уроков.
Быстро и объективно проверять знания учащихся.
Сделать изучение нового материала максимально понятным.
Избавить себя от подбора заданий и их проверки после уроков.
Наладить дисциплину на своих уроках.
Получить возможность работать творчески.

Просмотр содержимого документа
«Урок-закрепление по теме «Противоположные числа», 6 класс»

Урок-закрепление по теме «Противоположные числа», 6 класс


Цели урока: ввести понятие целых чисел; отрабатывать понятия противоположных и взаимно обратных чисел, умение решать уравнения нового вида; развивать внимание; воспитывать уважительное отношение к товарищам.


Ход урока

I. Организационный момент


II. Устный счет

1. Посмотрите 15 сек. и запомните данные числа:

Назовите числа, противоположные данным числам.

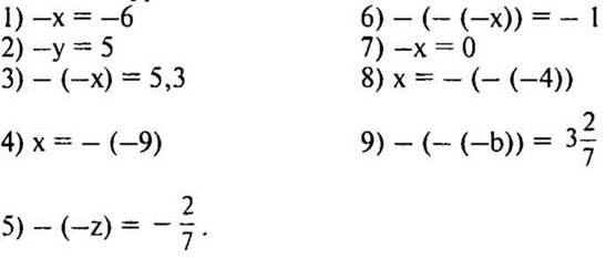
2. Решите уравнения:

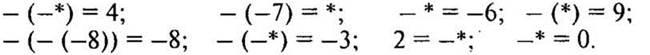
3. Поставьте вместо * такое число, чтобы равенство было верным:

4. При каких значениях переменных х и у значение суммы х + 4 противоположно числу -4, а разность у — 7 противоположна числу 7?

5. Представь себе, что ты машинист поезда, ведущего состав из Твери в Санкт-Петербург. Всего в составе поезда 13 вагонов. Обслуживается бригадой из 30 человек. Начальнику поезда 46 лет. Помощник машиниста на 3 года старше машиниста. Сколько лет машинисту поезда?

(Ответ: столько, сколько и тебе, ведь ты машинист поезда.)


III. Индивидуальная работа

1 карточка

1. Доходы населения увеличились на 5%, а через год — на 10%. На сколько процентов всего увеличились доходы?

2. Стоимость товара уменьшилась сначала на 20%, а затем на 15%. На сколько процентов всего уменьшилась стоимость товара?

2 карточка

1. Доходы населения увеличились на 25%, а через год — на 15%. На сколько процентов всего увеличились доходы?

2. Стоимость товара уменьшилась сначала на 5%, а затем на 10%. На сколько процентов всего уменьшилась стоимость товара?


IV. Сообщение темы урока

— Сегодня мы познакомимся с целыми числами, будем учиться различать противоположные числа и взаимно обратные.

V. Изучение нового материала

1. Подготовительная работа.

— С какими новыми числами мы с вами недавно познакомились? (Отрицательными.)

— Какие числа называются натуральными? Приведите примеры.

— Какие числа называются противоположными? Приведите примеры.

2. Работа по новой теме.

Определение. Натуральные числа, противоположные им числа и нуль называют целыми числами.

Множество целых чисел можно записать так: 


VI. Закрепление изученного материала

1. № 929 стр. 156 (самостоятельно, проверка устно).

— Можно ли данную прямую назвать координатной прямой? (Нет.)

— Определите местоположение точки О (начало отсчета) на прямой. Что для этого надо сделать?

— Что называют координатой точки?

— Что можете сказать о числах —3 и 3? (Противоположные, целые, одно число положительное, другое отрицательное.)

(Ответы: В (—4,5); С (—1,5); А(1).)

— Какие из данных координат являются целыми числами? (1.)

2. N° 930 стр. 156 (устно).

(Ответы: а) положительное; б) нуль; в) отрицательное.)

3. Запишите числа, обратные данным: 


VII. Физкультминутка


VIII. Работа над задачей

1. На весенней распродаже в одном магазине шарф стоимостью 350 руб. уценили на 40%, а через неделю еще на 5% . В другом магазине шарф такой же стоимости уценили сразу на 45%. В каком магазине выгоднее купить этот шарф?

Решение:

1) 350 · 0,6 = 210 (руб.) — после первого снижения.

2) 210 · 0,95 = 199,5 (руб.) — после второго снижения.

3) 350 · 0,55 = 192,5 (руб.) — во втором магазине.

(Ответ: во втором магазине.)

2. № 940 (б, г, е, з, к) стр. 157 (самостоятельно, устная проверка).


IX. Повторение изученного материала

1. В этом году тарифы на услуги лодочной станции оказались на 20% ниже, чем в прошлом году. Можно ли утверждать, что в прошлом году тарифы были на 20% выше, чем в нынешнем году? (Нет.) Почему?

2. № 936 стр. 157 (самостоятельно, устная проверка).

— Сколько чисел находится на одинаковом расстоянии отданного числа? (2.)

(Ответ: а) —15; —3; б) —6; 14; в) —14; 6; г) —100; 100.)


X. Самостоятельная работа (10 мин)

Вариант I

1. Отметьте на координатной прямой точки А (—6), В (3), С (—2), D (5) и Е (—1). За единичный отрезок примите длину одной клетки тетради.

2. Найдите число, противоположное числу:

а) 0,25; б) -4,9; в) -2,6; г) 1/3.

3. Найдите значение с, если: а) -с = 5,2; б) -с = -1,4 .

4. Докажите, что 5% от а равны а% от 5.


Вариант II

1. Отметьте на координатной прямой точки А (—1,2), В (—0,8), С (2,2), D (1/5) и Е (-2/5). За единичный отрезок примите длину пяти клеток тетради.

2. Найдите число, противоположное числу:

а) -3,18; б) 7; в) -5; г) 

3. Найдите значение т, если:

а) -m = 3,8; б) -m = -2,1 .

4. Докажите, что b% от 8 равны 8% от b.


XI. Подведение итогов урока

— Какие числа называют целыми?

— Число b противоположно числу а. Какое число противоположно числу —b? Какое число противоположно числу а?


Итоги урока. Выставление оценок.

Домашнее задание



Получите в подарок сайт учителя

Предмет: Математика

Категория: Уроки

Целевая аудитория: 6 класс

Скачать
Урок-закрепление по теме «Противоположные числа», 6 класс

Автор: Сабирзянова Елена Васильевна

Дата: 13.02.2026

Номер свидетельства: 681898


Получите в подарок сайт учителя

Видеоуроки для учителей


Распродажа видеоуроков!
ПОЛУЧИТЕ СВИДЕТЕЛЬСТВО МГНОВЕННО

Добавить свою работу

* Свидетельство о публикации выдается БЕСПЛАТНО, СРАЗУ же после добавления Вами Вашей работы на сайт

Удобный поиск материалов для учителей

Проверка свидетельства