kopilkaurokov.ru - сайт для учителей

Создайте Ваш сайт учителя Видеоуроки Олимпиады Вебинары для учителей

Урок-закрепление по теме «Правильные и неправильные дроби», 5 класс

Нажмите, чтобы узнать подробности

Урок-закрепление по теме «Правильные и неправильные дроби», 5 класс

Вы уже знаете о суперспособностях современного учителя?
Тратить минимум сил на подготовку и проведение уроков.
Быстро и объективно проверять знания учащихся.
Сделать изучение нового материала максимально понятным.
Избавить себя от подбора заданий и их проверки после уроков.
Наладить дисциплину на своих уроках.
Получить возможность работать творчески.

Просмотр содержимого документа
«Урок-закрепление по теме «Правильные и неправильные дроби», 5 класс»

Урок-закрепление по теме «Правильные и неправильные дроби», 5 класс


Цель урока: учить распознавать, понимать и объяснять правильные и неправильные дроби.

Ход урока

I. Организационный момент

II. Определение темы урока

Сегодня на уроке мы будем учиться распознавать, объяснять и сравнивать правильные и неправильные дроби.

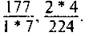
III. Устный счет

№№ учебника (самостоятельно).

Проверка

200, 500, 96, 10.

2. Мама испекла разные пирожки. С мясом — 10 штук, с творогом — 12, с повидлом — 9 штук. Какую часть от общего количества пирожков составляют пирожки с мясом? с творогом? с повидлом? 

— Какое наименьшее количество пирожков надо взять, чтобы среди них обязательно оказался пирожок с повидлом? (23 пирожка.)

3. Какие цифры можно поставить вместо звездочек, чтобы дробь была правильной (неправильной)?

— Объясните свое решение.

IV. Работа по теме урока

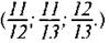
1. На доске:

11      12      13

— Составьте с данными числами и запишите в тетрадь все возможные правильные дроби. 

— Какие дроби называются правильными?

— Составьте и запишите все возможные неправильные дроби. 

— Какие дроби называются неправильными?

— Что еще вы знаете про правильные и неправильные дроби?

2. Выполните сравнение дробей.

V. Работа над задачами

1. С. 153, № 982.

— Сколько деталей выточил токарь?

— Какую часть дневной нормы это составляет?

— Как вы думаете, токарь выточил больше или меньше нормы? Почему?

— Сколько равных долей содержится в числе 135?

— А сколько равных долей в числе, которое составляет норму?

— Решите задачу.

135 : 27 ∙ 20 = 100 (дет.) — дневная норма.

— Прочитайте ответ. (Дневная норма токаря — 100 деталей.)

2. №№ учебника (работа в паре).

Проверка

3 ч = 180 мин

1) 180 : 10 ∙ 13 = 234 (мин) — продолжался концерт.

2) 234 — 180 = 54 (мин) — выступление на бис.

— Прочитайте ответ. (Концерт продолжался 3 ч 54 мин. Выступление на бис длилось 54 мин.)

3. №№ учебника (устно).

VI. Самостоятельная работа

№№ учебника.

Проверка

1) 5 т 400 кг — 1 т 200 кг = 4 т 200 кг — во второй день.

2) 4 т 200 кг ∙ 2 = 8 т 400 кг — в третий день.

3) 5 т 400 кг + 4 т 200 кг + 8 т 400 кг = 17 т 1000 кг = 18 т — за три дня.

Ответ: за три дня бригада собрала 18 т картофеля.


VII. Рефлексия

— Какая дробь больше — 6/7 или 7/6?

— Почему?


Итоги урока

Выставление оценок

Домашнее задание



Получите в подарок сайт учителя

Предмет: Математика

Категория: Уроки

Целевая аудитория: 5 класс

Скачать
Урок-закрепление по теме «Правильные и неправильные дроби», 5 класс

Автор: Сабирзянова Елена Васильевна

Дата: 13.02.2026

Номер свидетельства: 681897


Получите в подарок сайт учителя

Видеоуроки для учителей


Распродажа видеоуроков!
2230 руб.
3190 руб.
2020 руб.
2880 руб.
1740 руб.
2480 руб.
1790 руб.
2560 руб.
ПОЛУЧИТЕ СВИДЕТЕЛЬСТВО МГНОВЕННО

Добавить свою работу

* Свидетельство о публикации выдается БЕСПЛАТНО, СРАЗУ же после добавления Вами Вашей работы на сайт

Удобный поиск материалов для учителей

Проверка свидетельства