kopilkaurokov.ru - сайт для учителей

Создайте Ваш сайт учителя Видеоуроки Олимпиады Вебинары для учителей

Самостольная работа по теме «Смешанные числа», 5 кл

Нажмите, чтобы узнать подробности

Самостольная работа по теме «Смешанные числа», 5 кл

Вы уже знаете о суперспособностях современного учителя?
Тратить минимум сил на подготовку и проведение уроков.
Быстро и объективно проверять знания учащихся.
Сделать изучение нового материала максимально понятным.
Избавить себя от подбора заданий и их проверки после уроков.
Наладить дисциплину на своих уроках.
Получить возможность работать творчески.

Просмотр содержимого документа
«Самостольная работа по теме «Смешанные числа», 5 кл»

Самостоятельная работа по теме «Смешанные числа», 5 кл


Цель урока: проверить сформированность умений выполнять сложение и вычитание смешанных чисел, решать задачи и уравнения со смешанными числами.


Ход урока

I. Организационный момент

Сегодня на уроке вы напишете контрольную работу. Будьте внимательны и аккуратны. Не забудьте выполнить проверку.

II. Выполнение письменной контрольной работы по вариантам

Вариант 1

1. Выделите целую часть дроби.

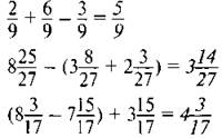
2. Найдите значения выражений.

3. За два дня пропололи 7/9 огорода. Причем в первый день пропололи 5/9 огорода. Какую часть огорода пропололи за второй день? (2/9.)

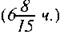
4. На первой автомашине было   т груза. Когда с нее сняли   т груза, то на первой машине груза стало меньше, чем на второй машине, на   т. Сколько всего груза было на двух машинах вместе первоначально? 

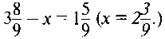
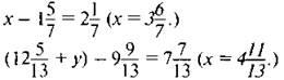
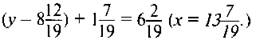
5. Решите уравнения.

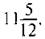
6*. В результате деления x на 8 получилось   Найдите значение х. (35.)


Вариант 2

1. Выделите целую часть дроби.

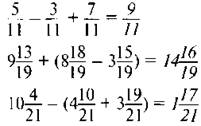
2. Найдите значения выражений.

3. За день удалось очистить от снега 8/9 аэродрома. До обеда расчистили 5/9 аэродрома. Какую часть аэродрома очистили от снега после обеда? (3/9.)

4. На изготовление одной детали требовалось по норме   ч. Но рабочий потратил на ее изготовление на 8/15 ч меньше. На изготовление другой детали рабочий затратил на   ч больше, чем на изготовление первой. Сколько времени затратил рабочий на изготовление этих двух деталей? 

5. Решите уравнения.

6*. При делении числа а на 12 получилось   Найдите значение а. (137.)



Получите в подарок сайт учителя

Предмет: Математика

Категория: Прочее

Целевая аудитория: 5 класс

Скачать
Самостольная работа по теме «Смешанные числа», 5 кл

Автор: Сабирзянова Елена Васильевна

Дата: 11.03.2026

Номер свидетельства: 682891


Получите в подарок сайт учителя

Видеоуроки для учителей


Распродажа видеоуроков!
ПОЛУЧИТЕ СВИДЕТЕЛЬСТВО МГНОВЕННО

Добавить свою работу

* Свидетельство о публикации выдается БЕСПЛАТНО, СРАЗУ же после добавления Вами Вашей работы на сайт

Удобный поиск материалов для учителей

Проверка свидетельства