kopilkaurokov.ru - сайт для учителей

Создайте Ваш сайт учителя Видеоуроки Олимпиады Вебинары для учителей

Проверочная работа «Сложение и вычитание положительных и отрицательных чисел», 6 кл

Нажмите, чтобы узнать подробности

Проверочная работа «Сложение и вычитание положительных и отрицательных чисел», 6 кл

Вы уже знаете о суперспособностях современного учителя?
Тратить минимум сил на подготовку и проведение уроков.
Быстро и объективно проверять знания учащихся.
Сделать изучение нового материала максимально понятным.
Избавить себя от подбора заданий и их проверки после уроков.
Наладить дисциплину на своих уроках.
Получить возможность работать творчески.

Просмотр содержимого документа
«Проверочная работа «Сложение и вычитание положительных и отрицательных чисел», 6 кл»

Проверочная работа «Сложение и вычитание положительных и отрицательных чисел», 6 кл

Цель работы: контроль знаний, умений и навыков по теме «Сложение и вычитание положительных и отрицательных чисел».


Ход урока

I. Организационный момент

II. Выполнение работы

Вариант I

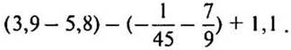
1. Выполните действие:

2. Найдите значение выражения 

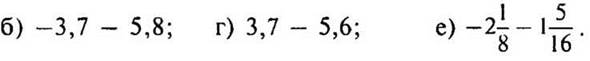
3. Решите уравнение: 

4. Найдите расстояние между точками А (—2,8) и В (3,7) на координатной прямой.

5. Напишите все целые значения n, если 4


Вариант II

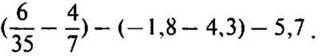
1. Выполните действие:

2. Найдите значение выражения: 

3. Решите уравнение: 

4. Найдите расстояние между точками С (—4,7) и D (—0,8) на координатной прямой.

5. Напишите все целые значения у, если 2


Вариант III

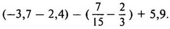
1. Выполните действие:

2. Найдите значение выражения: 

3. Решите уравнение: 

4. Найдите расстояние между точками М (—7,1) и N (4,2) на координатной прямой.

5. Напишите все целые значения m, если 4


Вариант IV

1. Выполните действие:

2. Найдите значение выражения: 

3. Решите уравнение: 

4. Найдите расстояние между точками К (—0,2) и Р (—3,1) на координатной прямой.

5. Напишите все целые значения z, если 5


Домашнее задание



Получите в подарок сайт учителя

Предмет: Математика

Категория: Прочее

Целевая аудитория: 6 класс

Скачать
Проверочная работа «Сложение и вычитание положительных и отрицательных чисел», 6 кл

Автор: Сабирзянова Елена Васильевна

Дата: 11.03.2026

Номер свидетельства: 682890

Похожие файлы

object(ArrayObject)#928 (1) {
  ["storage":"ArrayObject":private] => array(6) {
    ["title"] => string(139) "Тренажер по теме "Сложение и вычитание положительных и отрицательных чисел""
    ["seo_title"] => string(80) "trienazhierpotiemieslozhieniieivychitaniiepolozhitielnykhiotritsatielnykhchisiel"
    ["file_id"] => string(6) "333793"
    ["category_seo"] => string(10) "matematika"
    ["subcategory_seo"] => string(7) "prochee"
    ["date"] => string(10) "1465490199"
  }
}


Получите в подарок сайт учителя

Видеоуроки для учителей


ПОЛУЧИТЕ СВИДЕТЕЛЬСТВО МГНОВЕННО

Добавить свою работу

* Свидетельство о публикации выдается БЕСПЛАТНО, СРАЗУ же после добавления Вами Вашей работы на сайт

Удобный поиск материалов для учителей

Проверка свидетельства