kopilkaurokov.ru - сайт для учителей

Создайте Ваш сайт учителя Видеоуроки Олимпиады Вебинары для учителей

Входная контрольная работа по информатике10 класс

Нажмите, чтобы узнать подробности

Материал составлен на основе требований федерального образовательного стандарта по Информатике  за курс 9 класса. Данная работа рассчитана на учеников 10 класса, планирующих в дальнейшем сдавать  
экзамен по информатике  в форме ЕГЭ, входной контроль. Тестовый материал состоит из 18 заданий, каждое задание оценивается в 1 балл. ВАРИАНТОВ 5  с ответами.
 

Вы уже знаете о суперспособностях современного учителя?
Тратить минимум сил на подготовку и проведение уроков.
Быстро и объективно проверять знания учащихся.
Сделать изучение нового материала максимально понятным.
Избавить себя от подбора заданий и их проверки после уроков.
Наладить дисциплину на своих уроках.
Получить возможность работать творчески.

Просмотр содержимого документа
«Входная контрольная работа по информатике10 класс»

Входная контрольная работа

Пояснительная записка

к материалу

входная контрольная работа 10 класса

по предмету Информатика и ИКТ


Материал составлен на основе требований федерального образовательного стандарта по Информатике и ИКТ за курс 9 класса. Данная работа рассчитана на учеников 10 класса, планирующих в дальнейшем сдавать

экзамен по информатике в форме ЕГЭ, входной контроль. Тестовый материал состоит из 18 заданий, каждое задание оценивается в 1 балл.

На выполнение работы по информатике и ИКТ отводится 120 минут.

В работе проверяется освоение тем, изученных в 6-8классе:

1. Системы счисления

2. Файловая система

3. Обработка графа

4. Кодирование информации

5. Измерение информации

6. Чтение алгоритма по приведенному фрагменту

7. Выполнение заданного алгоритма

Ответ к заданиям 1-4 записывается в виде одной цифры, которая соответствует номеру правильного ответа. Ответы к заданиям 5-18 записываются в виде числа или набора символов в поле ответа в тексте работы.

Материал содержит 5 вариантов, приближенным к текстам ОГЭ по информатике и ИКТ. Тексты тестов и задания составлены из имеющихся на сегодняшний день в базе данных контрольно-измерительных материалов (КИМ) для проведения ОГЭ по информатике, из всевозможных демонстрационных, репетиционных и реальных вариантов ОГЭ, а также из сборников для подготовки к ОГЭ, допущенных Министерством образования и науки.

Критерии оценивания:

Правильный ответ оценивается в 1 балл. Все баллы суммируются.

«5» - 16-18 баллов; «4» - 11-15 баллов; «3» - 5-10 баллов, «2» - 0-4 баллов.







Вариант № 1

1. Ре­фе­рат, на­бран­ный на ком­пью­те­ре, со­дер­жит 24 стра­ни­цы, на каж­дой стра­ни­це 72 стро­ки, в каж­дой стро­ке 48 сим­во­лов. Для ко­ди­ро­ва­ния сим­во­лов ис­поль­зу­ет­ся ко­ди­ров­ка КОИ-8, при ко­то­рой каж­дый сим­вол ко­ди­ру­ет­ся одним бай­том. Опре­де­ли­те ин­фор­ма­ци­он­ный объём ре­фе­ра­та.

 

1) 18 байт

2) 81 байт

3) 18 Кбайт

4) 81 Кбайт

2. Для ка­ко­го из дан­ных слов ис­тин­но вы­ска­зы­ва­ние:

 

НЕ (есть ши­пя­щие) И НЕ (окан­чи­ва­ет­ся на глас­ную)?

 

Ши­пя­щие звуки — это [ж], [ш], [ч'], [щ'].

 

1) лю­бовь

2) от­вра­ще­ние

3) за­бо­та

4) от­чуждённость

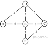
3. Между населёнными пунк­та­ми А, В, С, D, Е по­стро­е­ны до­ро­ги, про­тяжённость ко­то­рых (в ки­ло­мет­рах) при­ве­де­на в таб­ли­це:

 

 

Опре­де­ли­те длину крат­чай­ше­го пути между пунк­та­ми А и E. Пе­ре­дви­гать­ся можно толь­ко по до­ро­гам, про­тяжённость ко­то­рых ука­за­на в таб­ли­це.

 

1) 9

2) 8

3) 7

4) 6

4. Ма­ри­на Ива­но­ва, ра­бо­тая над про­ек­том по ли­те­ра­ту­ре, со­зда­ла сле­ду­ю­щие файлы:

 

D:\Ли­те­ра­ту­ра\Про­ект\Есе­нин.bmp

D:\Учёба\Ра­бо­та\Пи­са­те­ли.doc

D:\Учёба\Ра­бо­та\Поэты.doc

D:\Ли­те­ра­ту­ра\Про­ект\Пуш­кин. bmp

D:\Ли­те­ра­ту­ра\Про­ект\Сти­хо­тво­ре­ния.doc

 

Ука­жи­те пол­ное имя папки, ко­то­рая оста­нет­ся пу­стой при уда­ле­нии всех фай­лов с рас­ши­ре­ни­ем.doc. Счи­тай­те, что дру­гих фай­лов и папок на диске D нет.

 

1) Ли­те­ра­ту­ра

2) D:\Учёба\Ра­бо­та

3) D:\Учёба

4) D:\Ли­те­ра­ту­ра\Про­ект

5. Дан фраг­мент элек­трон­ной таб­ли­цы:

 


A

B

C

D

1

1

2

10

3

2

= (В1 + D1)/5

= D1 - В1

= А1


 

Какая из фор­мул может быть за­пи­са­на в ячей­ке D2, чтобы по­стро­ен­ная после вы­пол­не­ния вы­чис­ле­ний диа­грам­ма по зна­че­ни­ям диа­па­зо­на ячеек A2:D2 со­от­вет­ство­ва­ла ри­сун­ку?

 

1) = А1 + 2

2) = С1 - А1

3) = D1*2

4) = D1 + 1

6. Ис­пол­ни­тель Че­ре­паш­ка пе­ре­ме­ща­ет­ся на экра­не ком­пью­те­ра, остав­ляя след в виде линии. В каж­дый кон­крет­ный мо­мент из­вест­но по­ло­же­ние ис­пол­ни­те­ля и на­прав­ле­ние его дви­же­ния. У ис­пол­ни­те­ля су­ще­ству­ет две ко­ман­ды: Вперёд n (где n — целое число), вы­зы­ва­ю­щая пе­ре­дви­же­ние Че­ре­паш­ки на n шагов в на­прав­ле­нии дви­же­ния; На­пра­во m (где m — целое число), вы­зы­ва­ю­щая из­ме­не­ние на­прав­ле­ния дви­же­ния на m гра­ду­сов по ча­со­вой стрел­ке. За­пись По­вто­ри k [Ко­ман­да1 Ко­ман­да2 Ко­ман­даЗ] озна­ча­ет, что по­сле­до­ва­тель­ность ко­манд в скоб­ках по­вто­рит­ся k раз.

 

Че­ре­паш­ке был дан для ис­пол­не­ния сле­ду­ю­щий ал­го­ритм: По­вто­ри 9 [Вперёд 70 На­пра­во 90]. Какая фи­гу­ра по­явит­ся на экра­не?

 

1) не­за­мкну­тая ло­ма­ная линия

2) пра­виль­ный де­вя­ти­уголь­ник

3) пра­виль­ный вось­ми­уголь­ник

4) пра­виль­ный четырёхуголь­ник

7. Маль­чи­ки иг­ра­ли в шпи­о­нов и за­ко­ди­ро­ва­ли со­об­ще­ние при­ду­ман­ным шиф­ром. Ко­до­вая таб­ли­ца при­ве­де­на ниже:

А

Б

В

Г

Д

Е

Ж

*

_ + +

_ _ +

* +

_ *

+ _ +

* * _

 

Рас­шиф­руй­те по­лу­чен­ное со­об­ще­ние:

 

* + _ + + _ * * _ * *

 

За­пи­ши­те в от­ве­те рас­шиф­ро­ван­ное со­об­ще­ние.

8. В про­грам­ме «:=» обо­зна­ча­ет опе­ра­тор при­сва­и­ва­ния, знаки «+», «–», «*» и «/» – со­от­вет­ствен­но опе­ра­ции сло­же­ния, вы­чи­та­ния, умно­же­ния и де­ле­ния. Пра­ви­ла вы­пол­не­ния опе­ра­ций и по­ря­док дей­ствий со­от­вет­ству­ет пра­ви­лам ариф­ме­ти­ки.

Опре­де­ли­те зна­че­ние пе­ре­мен­ной а после ис­пол­не­ния дан­но­го ал­го­рит­ма.

 

a := 12

b := 8 + a / 2

a := a – b / 2

 

По­ря­док дей­ствий со­от­вет­ству­ет пра­ви­лам ариф­ме­ти­ки. В от­ве­те ука­жи­те одно число — зна­че­ние пе­ре­мен­ной а.

9. За­пи­ши­те зна­че­ние пе­ре­мен­ной s, по­лу­чен­ное в ре­зуль­та­те ра­бо­ты сле­ду­ю­щей про­грам­мы. Текст про­грам­мы при­ведён на двух язы­ках про­грам­ми­ро­ва­ния.

 

Ал­го­рит­ми­че­ский язык

Пас­каль

алг

нач

цел s, k

s := 0

нц для k от 4 до 7

s := s + 8

кц

вывод s

кон

Var s,k: integer;

Begin

s := 0;

for k := 4 to 7 do

s := s + 8;

writeln(s);

End.

10. В таб­ли­це Dat хра­нят­ся дан­ные о ко­ли­че­стве уче­ни­ков в клас­сах (Dat[1] — ко­ли­че­ство уче­ни­ков в пер­вом клас­се, Dat[2] — во вто­ром и т. д.). Опре­де­ли­те, какое число будет на­пе­ча­та­но в ре­зуль­та­те ра­бо­ты сле­ду­ю­щей про­грам­мы. Текст про­грам­мы при­ведён на двух язы­ках про­грам­ми­ро­ва­ния.

 

Ал­го­рит­ми­че­ский язык

Пас­каль

алг

нач

цел­таб Dat[1:10]

цел к, m

Dat[1] := 20

Dat[2] := 25

Dat[3] := 19

Dat[4] := 25

Dat[5] := 26

Dat[6] := 22

Dat[7] := 24

Dat[8] := 28

Dat[9] := 26

Dat[10] := 21

Dat[11] := 27

m := 0

нц для к от 1 до 11

если Dat[к] 22 то

m : = m+1

все

КЦ

вывод m

КОН

Var k, m: integer;

Dat: array[1...10] of integer;

Begin

Dat[1] := 20;

Dat[2] := 25;

Dat[3] := 19;

Dat[4] := 25;

Dat[5] := 26;

Dat[6] := 22;

Dat[7] := 24;

Dat[8] := 28;

Dat[9] := 26;

Dat[10] := 21;

Dat[11] := 27;

m := 0

for k := 1 to 11 do

if Dat[k] 22 then

begin

m := m+1;

end;

writeln(m);

End.

11. На ри­сун­ке — схема дорог, свя­зы­ва­ю­щих го­ро­да А, Б, В, Г, Д, Е, Ж и К. По каж­дой до­ро­ге можно дви­гать­ся толь­ко в одном на­прав­ле­нии, ука­зан­ном стрел­кой. Сколь­ко су­ще­ству­ет раз­лич­ных путей из го­ро­да А в город К?

12. Ниже в таб­лич­ной форме пред­став­лен фраг­мент базы дан­ных «Школь­ные со­рев­но­ва­ния среди маль­чи­ков».

 

Участ­ник

Пресс

Под­тя­ги­ва­ния

От­ве­ты на тео­ре­ти­че­ские во­про­сы

Си­до­ров

30

10

От­лич­но

Ива­нов

50

6

От­лич­но

Пет­ров

40

9

Хо­ро­шо

Ва­сеч­кин

24

15

Плохо

Горь­кий

61

8

Хо­ро­шо

Пуш­кин

28

12

Хо­ро­шо

Ковалёв

100

4

Плохо

Бо­га­тов

52

7

От­лич­но

Крас­но­поль­ский

48

14

Плохо

 

Сколь­ко за­пи­сей в дан­ном фраг­мен­те удо­вле­тво­ря­ют усло­вию

 

(Пресс  ИЛИ (От­ве­ты на тео­ре­ти­че­ские во­про­сы = «От­лич­но»)?

 В от­ве­те ука­жи­те одно число — ис­ко­мое ко­ли­че­ство за­пи­сей.

13. Пе­ре­ве­ди­те дво­ич­ное число 1101101 в де­ся­тич­ную си­сте­му счис­ле­ния.

14. У ис­пол­ни­те­ля Квад­ра­тор две ко­ман­ды, ко­то­рым при­сво­е­ны но­ме­ра:

 

1. воз­ве­ди в квад­рат

2. при­бавь 1

 

Пер­вая из них воз­во­дит число на экра­не во вто­рую сте­пень, вто­рая — при­бав­ля­ет к числу 1. Со­ставь­те ал­го­ритм по­лу­че­ния из числа 5 числа 39, со­дер­жа­щий не более 5 ко­манд. В от­ве­те за­пи­ши­те толь­ко но­ме­ра ко­манд. (На­при­мер, 21122 — это ал­го­ритм:

при­бавь 1

воз­ве­ди в квад­рат

воз­ве­ди в квад­рат

при­бавь 1

при­бавь 1

ко­то­рый пре­об­ра­зу­ет число 1 в число 18).

Если таких ал­го­рит­мов более од­но­го, то за­пи­ши­те любой из них.

15. Файл раз­ме­ром 64 Кбайт пе­ре­даётся через не­ко­то­рое со­еди­не­ние со ско­ро­стью 1024 бит в се­кун­ду. Опре­де­ли­те раз­мер файла (в Кбайт), ко­то­рый можно пе­ре­дать за то же время через дру­гое со­еди­не­ние со ско­ро­стью 256 бит в се­кун­ду. В от­ве­те ука­жи­те одно число — раз­мер файла в Кбайт. Еди­ни­цы из­ме­ре­ния пи­сать не нужно.

16. Не­ко­то­рый ал­го­ритм из одной це­поч­ки сим­во­лов по­лу­ча­ет новую це­поч­ку сле­ду­ю­щим об­ра­зом. Сна­ча­ла вы­чис­ля­ет­ся длина ис­ход­ной це­поч­ки сим­во­лов; если она чётна, то дуб­ли­ру­ет­ся пер­вый сим­вол це­поч­ки, а если нечётна, то в на­ча­ло це­поч­ки до­бав­ля­ет­ся сим­вол К. В по­лу­чен­ной це­поч­ке сим­во­лов каж­дая буква за­ме­ня­ет­ся бук­вой, сле­ду­ю­щей за ней в рус­ском ал­фа­ви­те (А — на Б, Б — на В и т. д., а Я — на А). По­лу­чив­ша­я­ся таким об­ра­зом це­поч­ка яв­ля­ет­ся ре­зуль­та­том ра­бо­ты ал­го­рит­ма.

На­при­мер, если ис­ход­ной была це­поч­ка НОГА, то ре­зуль­та­том ра­бо­ты ал­го­рит­ма будет це­поч­каООПДБ, а если ис­ход­ной была це­поч­ка ТОН, то ре­зуль­та­том ра­бо­ты ал­го­рит­ма будет це­поч­ка ЛУПО.

Дана це­поч­ка сим­во­лов ГРОТ. Какая це­поч­ка сим­во­лов по­лу­чит­ся, если к дан­ной це­поч­ке при­ме­нить опи­сан­ный ал­го­ритм два­жды (т. е. при­ме­нить ал­го­ритм к дан­ной це­поч­ке, а затем к ре­зуль­та­ту вновь при­ме­нить ал­го­ритм)? Рус­ский ал­фа­вит: АБВ­ГДЕЁЖЗИЙ­КЛМ­НОПР­СТУ­ФХ­ЦЧ­Ш­ЩЪ­Ы­Ь­Э­ЮЯ.

17. До­ступ к файлу hello.jpg, на­хо­дя­ще­му­ся на сер­ве­ре home.info, осу­ществ­ля­ет­ся по про­то­ко­лу ftp. Фраг­мен­ты ад­ре­са файла за­ко­ди­ро­ва­ны бук­ва­ми от А до Ж. За­пи­ши­те по­сле­до­ва­тель­ность этих букв, ко­ди­ру­ю­щую адрес ука­зан­но­го файла в сети Ин­тер­нет.


 


А) hello

Б) .jpg

В) ftp

Г) info

Д) home.

Е) /

Ж) ://

18. В таб­ли­це при­ве­де­ны за­про­сы к по­ис­ко­во­му сер­ве­ру. Для каж­до­го за­про­са ука­зан его код — со­от­вет­ству­ю­щая буква от А до Г. Рас­по­ло­жи­те коды за­про­сов слева на­пра­во в по­ряд­ке воз­рас­та­ния ко­ли­че­ства стра­ниц, ко­то­рые нашёл по­ис­ко­вый сер­вер по каж­до­му за­про­су. По всем за­про­сам было най­де­но раз­ное ко­ли­че­ство стра­ниц. Для обо­зна­че­ния ло­ги­че­ской опе­ра­ции «ИЛИ» в за­про­се ис­поль­зу­ет­ся сим­вол «|», а для ло­ги­че­ской опе­ра­ции «И» — «&»:

 

Код

За­прос

А

Рыжий & Чест­ный

Б

Рыжий | Чест­ный | Влюблённый

В

Рыжий & Чест­ный & Влюблённый

Г

Рыжий | Чест­ный





Вариант № 2

 1. В одной из ко­ди­ро­вок Unicode каж­дый сим­вол ко­ди­ру­ет­ся 16 би­та­ми. Опре­де­ли­те раз­мер сле­ду­ю­ще­го пред­ло­же­ния в дан­ной ко­ди­ров­ке. Семь раз от­мерь, один раз от­режь!

 

1) 33 байт

2) 64 байт

3) 66 бит

4) 528 бит

2. Для ка­ко­го из при­ведённых зна­че­ний числа X ис­тин­но вы­ска­зы­ва­ние: (X И НЕ (X 

 

1) 5

2) 2

3) 3

4) 4

3. У Пети Ива­но­ва род­ствен­ни­ки живут в 5 раз­ных го­ро­дах Рос­сии. Рас­сто­я­ния между го­ро­да­ми вне­се­ны в таб­ли­цу:

 

 

Петя пе­ре­ри­со­вал её в блок­нот в виде графа. Счи­тая, что маль­чик не ошиб­ся при ко­пи­ро­ва­нии, ука­жи­те, какой граф у Пети в тет­ра­ди.

 

1) 

2) 

3) 

4) 

4. В не­ко­то­ром ка­та­ло­ге хра­нил­ся файл с име­нем ex.pas. После того как в этом ка­та­ло­ге со­зда­ли под­ка­та­лог Pascal и пе­ре­ме­сти­ли в него файл ex.pas, пол­ное имя файла сталоC:\Olimp\Ivanov\Pascal\ex.pas Каким было пол­ное имя этого файла до пе­ре­ме­ще­ния?

 

1) C:\Ivanov\Pascal\ex.pas

2) C:\Olimp\Pascal\ex.pas

3) C:\Olimp\Ivanov\Pascal\ex.pas

4) C:\Olimp\Ivanov\ex.pas

5..

Дан фраг­мент элек­трон­ной таб­ли­цы.

 


A

B

C

D

1

4


6

11

2

=C1*2

=B1–2

=D1+1

=A1*3

 

Какое из пе­ре­чис­лен­ных ниже чисел долж­но быть за­пи­са­но в ячей­ке B1, чтобы по­стро­ен­ная после вы­пол­не­ния вы­чис­ле­ний диа­грам­ма по зна­че­ни­ям диа­па­зо­на ячеек A2:D2 со­от­вет­ство­ва­ла ри­сун­ку?

 

1) 6

2) 2

3) 12

4) 14

6. Ис­пол­ни­тель Му­ра­вей пе­ре­ме­ща­ет­ся по полю, раз­делённому на клет­ки. Раз­мер поля 8x8, стро­ки ну­ме­ру­ют­ся чис­ла­ми, столб­цы обо­зна­ча­ют­ся бук­ва­ми. Му­ра­вей может вы­пол­нять ко­ман­ды дви­же­ния:

 

Вверх N,

Вниз N,

Впра­во N,

Влево N

 

(где N — целое число от 1 до 7), пе­ре­ме­ща­ю­щие ис­пол­ни­те­ля на N кле­ток вверх, вниз, впра­во или влево со­от­вет­ствен­но.

 

За­пись

 

По­вто­ри k раз

Ко­ман­да1 Ко­ман­да2 Ко­ман­даЗ

Конец

 

озна­ча­ет, что по­сле­до­ва­тель­ность ко­манд Ко­ман­да1 Ко­ман­да2 Ко­ман­даЗ по­вто­рит­ся k раз. Если на пути Му­ра­вья встре­ча­ет­ся кубик, то он пе­ре­ме­ща­ет его по ходу дви­же­ния. Пусть, на­при­мер, кубик на­хо­дит­ся в клет­ке Б6. Если Му­ра­вей вы­пол­нит ко­ман­ды впра­во 1 вниз 3, то сам ока­жет­ся в клет­ке Б5, а кубик в клет­ке Б4.

 

 

Пусть Му­ра­вей и кубик рас­по­ло­же­ны так, как ука­за­но на ри­сун­ке. Му­ра­вью был дан для ис­пол­не­ния сле­ду­ю­щий ал­го­ритм:

 

По­вто­ри 4 раз

Вниз 2 впра­во 1 вверх 2

Конец

 

В какой клет­ке ока­жет­ся кубик после вы­пол­не­ния этого ал­го­рит­ма?

 

1) Г6

2) Е4

3) Д1

4) Е6

7. Маль­чи­ки иг­ра­ли в шпи­о­нов и за­ко­ди­ро­ва­ли со­об­ще­ние при­ду­ман­ным шиф­ром. В со­об­ще­нии при­сут­ству­ют толь­ко буквы из при­ведённого фраг­мен­та ко­до­вой таб­ли­цы:

 

А

Б

В

Г

Д

Е

Ж

10

110

12

102

0

22

122

 

Опре­де­ли­те, сколь­ко букв со­дер­жит со­об­ще­ние:

 

101212210102.


 

8. В про­грам­ме «:=» обо­зна­ча­ет опе­ра­тор при­сва­и­ва­ния, знаки «+», «-», «*» и «/» — со­от­вет­ствен­но опе­ра­ции сло­же­ния, вы­чи­та­ния, умно­же­ния и де­ле­ния. Пра­ви­ла вы­пол­не­ния опе­ра­ций и по­ря­док дей­ствий со­от­вет­ству­ют пра­ви­лам ариф­ме­ти­ки. Опре­де­ли­те зна­че­ние пе­ре­мен­ной b после вы­пол­не­ния ал­го­рит­ма:

 

a := 4

b := 5

a := b + 15

b := 100/a*4

 

В от­ве­те ука­жи­те одно целое число — зна­че­ние пе­ре­мен­ной b.

9. За­пи­ши­те зна­че­ние пе­ре­мен­ной u, по­лу­чен­ное в ре­зуль­та­те ра­бо­ты сле­ду­ю­щей про­грам­мы. Текст про­грам­мы при­ведён на трёх язы­ках про­грам­ми­ро­ва­ния.

 

Ал­го­рит­ми­че­ский язык

Пас­каль

алг

нач

цел u,i

u := 30

нц для i от 1 до 6

u := u – i

кц

вывод u

кон

Var u,i: integer;

Begin

u := 30;

For i := 1 to 6 do

u := u – i;

Writeln(u);

End.

10. Из­вест­ная авиа­ком­па­ния за­но­си­ла дан­ные о ко­ли­че­стве уте­рян­но­го ба­га­жа за год в таб­ли­цу Lose. Всего были за­не­се­ны дан­ные за по­след­ние 10 лет ра­бо­ты ком­па­нии (Lose[1] — ко­ли­че­ство уте­рян­но­го ба­га­жа за пер­вый год ра­бо­ты, Lose[2] — за вто­рой год и т. д.). Опре­де­ли­те, какое число будет на­пе­ча­та­но в ре­зуль­та­те ра­бо­ты сле­ду­ю­щей про­грам­мы. Текст про­грам­мы при­ведён на трёх язы­ках про­грам­ми­ро­ва­ния.

 

Ал­го­рит­ми­че­ский язык

Пас­каль

алг

нач

цел­таб Lose[1:10]

цел t, m

Lose[1] := 1; Lose[2] := 5

Lose[3] := 3; Lose[4] := 6

Lose[5] := 7; Lose[6] := 12

Lose[7] := 1; Lose[8] := 3

Lose[9] := 3; Lose[10] := 1

m := 0

нц для t от 1 до 10

если Lose[t] 3 то

m := m + Lose[t]

все

кц

вывод m

кон

Var t, m: integer;

Lose: array[1..10] of integer;

Begin

Lose[1] := 1; Lose[2] := 5;

Lose[3] := 3; Lose[4] := 6;

Lose[5] := 7; Lose[6] := 12;

Lose[7] := 1; Lose[8] := 3;

Lose[9] := 3; Lose[10] := 1;

m := 0;

For t := 1 to 10 Do

If Lose[t] 3 Then

Begin

m := m + Lose[t];

End;

Writeln(m);

End.

11. За­да­ние 11 № 869. На ри­сун­ке изоб­ра­же­на схема дорог, свя­зы­ва­ю­щих го­ро­да A, B, C, D, E, F, G. По каж­дой до­ро­ге можно дви­гать­ся толь­ко в одном на­прав­ле­нии, ука­зан­ном стрел­кой. Сколь­ко су­ще­ству­ет раз­лич­ных путей из го­ро­да A в город D?

 

12.  Ниже в таб­лич­ной форме пред­став­лен фраг­мент базы дан­ных «Фа­куль­те­ты».

 

Фа­куль­тет

План

приёма

Сто­и­мость

обу­че­ния

Сти­пен­дия

Ме­не­дже­мент

100

50000

Есть

Ди­зайн

140

60000

Нет

Мар­ке­тинг

20

25000

Есть

Ис­то­рия

35

40000

Есть

Фи­ло­со­фи

20

40000

Есть

Пси­хо­ло­гия

16

21000

Нет

Пе­да­го­ги­ка

100

28000

Есть

Управ­ле­ние

ка­че­ством

35

20000

Нет

 

Сколь­ко фа­куль­те­тов в дан­ном фраг­мен­те удо­вле­тво­ря­ют усло­вию

 

(План приёма

 

В от­ве­те ука­жи­те одно число — ис­ко­мое ко­ли­че­ство фа­куль­те­тов.

13. Пе­ре­ве­ди­те дво­ич­ное число 1110001 в де­ся­тич­ную си­сте­му счис­ле­ния.

14. У ис­пол­ни­те­ля Де­ли­тель две ко­ман­ды, ко­то­рым при­сво­е­ны но­ме­ра:

 

1. раз­де­ли на 2

2. вычти 1

 

Пер­вая из них умень­ша­ет число на экра­не в 2 раза, вто­рая умень­ша­ет его на 1. Ис­пол­ни­тель ра­бо­та­ет толь­ко с на­ту­раль­ны­ми чис­ла­ми. Со­ставь­те ал­го­ритм по­лу­че­ния из числа 27 числа 5, со­дер­жа­щий не более 5 ко­манд. В от­ве­те за­пи­ши­те толь­ко но­ме­ра ко­манд. (На­при­мер, 12111 — это ал­го­ритм: раз­де­ли на 2, вычти 1, раз­де­ли на 2, раз­де­ли на 2, раз­де­ли на 2, ко­то­рый пре­об­ра­зу­ет число 50 в 3.) Если таких ал­го­рит­мов более од­но­го, то за­пи­ши­те любой из них.

15. Файл раз­ме­ром 36 Мбайт пе­ре­даётся через не­ко­то­рое со­еди­не­ние за 3 ми­ну­ты. Опре­де­ли­те раз­мер файла (в Мбайт), ко­то­рый можно пе­ре­дать через это же со­еди­не­ние за 240 се­кунд. от­ве­те ука­жи­те одно число — раз­мер файла в Мбайт. Еди­ни­цы из­ме­ре­ния пи­сать не нужно.

16. Ав­то­мат по­лу­ча­ет на вход четырёхзнач­ное де­ся­тич­ное число. По по­лу­чен­но­му числу стро­ит­ся новое де­ся­тич­ное число по сле­ду­ю­щим пра­ви­лам.

1. Вы­чис­ля­ют­ся два числа — сумма пер­вой и вто­рой цифр и сумма тре­тьей и чет­вер­той цифр за­дан­но­го числа.

2. По­лу­чен­ные два числа за­пи­сы­ва­ют­ся друг за дру­гом в по­ряд­ке не­воз­рас­та­ния (без раз­де­ли­те­лей).

 При­мер. Ис­ход­ное число: 2177. По­раз­ряд­ные суммы: 3, 14. Ре­зуль­тат: 143.

 Опре­де­ли­те, сколь­ко из при­ведённых ниже чисел может по­лу­чить­ся в ре­зуль­та­те ра­бо­ты ав­то­ма­та.

 

1915 20 101 1213 1312 312 1519 112 1212

 

В от­ве­те за­пи­ши­те толь­ко ко­ли­че­ство чисел.

17. До­ступ к файлу Mozart.mp3, на­хо­дя­ще­му­ся на сер­ве­ре classic.ru, осу­ществ­ля­ет­ся по про­то­ко­лу http. Фраг­мен­ты ад­ре­са файла за­ко­ди­ро­ва­ны бук­ва­ми от А до Ж. За­пи­ши­те по­сле­до­ва­тель­ность этих букв, ко­ди­ру­ю­щую адрес ука­зан­но­го файла в сети Ин­тер­нет.

 

А) ru

Б) .mp3

В) /

Г) classic.

Д) Mozart

Е) http

Ж) ://

18. При­ве­де­ны за­про­сы к по­ис­ко­во­му сер­ве­ру. Для каж­до­го за­про­са ука­зан его код — со­от­вет­ству­ю­щая буква от А до Г. За­пи­ши­те в таб­ли­цу коды за­про­сов слева на­пра­во в по­ряд­ке воз­рас­та­ния ко­ли­че­ства стра­ниц, ко­то­рые нашёл по­ис­ко­вый сер­вер по каж­до­му за­про­су. По всем за­про­сам было най­де­но раз­ное ко­ли­че­ство стра­ниц. Для обо­зна­че­ния ло­ги­че­ской опе­ра­ции «ИЛИ» в за­про­се ис­поль­зу­ет­ся сим­вол «|», а для ло­ги­че­ской опе­ра­ции «И» — сим­вол «&».

 

Код

За­прос

А

Ли­те­ра­ту­ра | Ис­то­рия | Эк­за­мен

Б

Эк­за­мен & Ли­те­ра­ту­ра

В

Эк­за­мен | Ис­то­рия

Г

Ис­то­рия & Ли­те­ра­ту­ра & Эк­за­мен




Вариант № 3

1. В одной из ко­ди­ро­вок Unicode каж­дый сим­вол ко­ди­ру­ет­ся 16 би­та­ми. Опре­де­ли­те раз­мер сле­ду­ю­ще­го пред­ло­же­ния в дан­ной ко­ди­ров­ке. Лю­бишь ка­тать­ся — люби и са­ноч­ки во­зить!

 

1) 40 байт

2) 80 бит

3) 320 бит

4) 640 бит

2. Для ка­ко­го из при­ведённых имён ис­тин­но вы­ска­зы­ва­ние:

НЕ (Тре­тья буква глас­ная) И (По­след­няя буква со­глас­ная)?

 

1) Иван

2) Ксе­ния

3) Ма­ри­на

4) Мат­вей

3. Между населёнными пунк­та­ми А, В, С, D, Е по­стро­е­ны до­ро­ги, про­тяжённость ко­то­рых (в ки­ло­мет­рах) при­ве­де­на в таб­ли­це:

 

 

Опре­де­ли­те длину крат­чай­ше­го пути между пунк­та­ми А и E. Пе­ре­дви­гать­ся можно толь­ко по до­ро­гам, про­тяжённость ко­то­рых ука­за­на в таб­ли­це.

 

1) 8

2) 9

3) 10

4) 11

4. Поль­зо­ва­тель ра­бо­тал с ка­та­ло­гом Поэты. Сна­ча­ла он под­нял­ся на один уро­вень вверх, затем спу­стил­ся на один уро­вень вниз, потом ещё раз спу­стил­ся на один уро­вень вниз. В ре­зуль­та­те он ока­зал­ся в ка­та­ло­ге

 

С:\Школа\Ли­те­ра­ту­ра\Со­чи­не­ния.

 

За­пи­ши­те пол­ный путь ка­та­ло­га, с ко­то­рым поль­зо­ва­тель на­чи­нал ра­бо­ту.

 

1) С:\Школа\Поэты\Ли­те­ра­ту­ра\Со­чи­не­ния

2) С:\Школа\Поэты

3) С:\Школа\Ли­те­ра­ту­ра\Поэты\Со­чи­не­ния

4) С:\Поэты

5. Дан фраг­мент элек­трон­ной таб­ли­цы:

 


A

B

C

D

1

5

7

8

1

2


=C1-2*D1

=С1-А1

=А1*2-В1

 

Какая из фор­мул, при­ведённых ниже, может быть за­пи­са­на в ячей­ке A2, чтобы по­стро­ен­ная после вы­пол­не­ния вы­чис­ле­ний диа­грам­ма по зна­че­ни­ям диа­па­зо­на ячеек A2:D2 со­от­вет­ство­ва­ла ри­сун­ку?

 

1) =(С1-В1) *2

2) =D1*4

3) =B1-D1

4) =(C1-2*D1)/2

6. Ис­пол­ни­тель Че­ре­паш­ка пе­ре­ме­ща­ет­ся на экра­не ком­пью­те­ра, остав­ляя след в виде линии. В каж­дый кон­крет­ный мо­мент из­вест­но по­ло­же­ние ис­пол­ни­те­ля и на­прав­ле­ние его дви­же­ния. У ис­пол­ни­те­ля су­ще­ству­ет две ко­ман­ды: Вперёд n (где n — целое число), вы­зы­ва­ю­щая пе­ре­дви­же­ние Че­ре­паш­ки на n шагов в на­прав­ле­нии дви­же­ния; На­пра­во m (где m — целое число), вы­зы­ва­ю­щая из­ме­не­ние на­прав­ле­ния дви­же­ния на m гра­ду­сов по ча­со­вой стрел­ке. За­пись По­вто­ри k [Ко­ман­да1 Ко­ман­да2 Ко­ман­даЗ] озна­ча­ет, что по­сле­до­ва­тель­ность ко­манд в скоб­ках по­вто­рит­ся k раз.

 Че­ре­паш­ке был дан для ис­пол­не­ния сле­ду­ю­щий ал­го­ритм: По­вто­ри 360 [Вперёд 30 На­пра­во 60]. Какая фи­гу­ра по­явит­ся на экра­не?

 1) пра­виль­ный 360-уголь­ник

2) пра­виль­ный тре­уголь­ник

3) пра­виль­ный ше­сти­уголь­ник

4) не­за­мкну­тая ло­ма­ная линия

7. Вася и Петя иг­ра­ли в шпи­о­нов и ко­ди­ро­ва­ли со­об­ще­ние соб­ствен­ным шиф­ром. Фраг­мент ко­до­вой таб­ли­цы при­ведён ниже:

 

Ж

З

И

Й

К

Л

+ #

+ ^ #

#

^

^ #

# +

 

Опре­де­ли­те, из сколь­ких букв со­сто­ит со­об­ще­ние, если из­вест­но, что буквы в нём не по­вто­ря­ют­ся:

 

# + + ^ # # ^ # ^

 

8. В про­грам­ме «:=» обо­зна­ча­ет опе­ра­тор при­сва­и­ва­ния, знаки «+», «–», «*» и «/» – со­от­вет­ствен­но опе­ра­ции сло­же­ния, вы­чи­та­ния, умно­же­ния и де­ле­ния. Пра­ви­ла вы­пол­не­ния опе­ра­ций и по­ря­док дей­ствий со­от­вет­ству­ет пра­ви­лам ариф­ме­ти­ки.

Опре­де­ли­те зна­че­ние пе­ре­мен­ной m после вы­пол­не­ния дан­но­го ал­го­рит­ма:

 

k := 5

m := 90

k := m-k*2

m := k*3-m

 

В от­ве­те ука­жи­те одно целое число — зна­че­ние пе­ре­мен­ной m.

9. За­пи­ши­те зна­че­ние пе­ре­мен­ной s, по­лу­чен­ное в ре­зуль­та­те ра­бо­ты сле­ду­ю­щей про­грам­мы. Текст про­грам­мы при­ведён на трёх язы­ках про­грам­ми­ро­ва­ния.

 

Ал­го­рит­ми­че­ский язык

Бей­сик

Пас­каль

алг

нач

цел s, k

s := 0

нц для k от 9 до 13

s := s + 9

кц

вывод s

кон

DIM k, s AS INTEGER

s = 0

FOR к = 9 TO 13

s = s + 9

NEXT k

PRINT s

Var s,k: integer;

Begin

s := 0;

for k := 9 to 13 do

s := s + 9;

writeln(s);

End.

10. В таб­ли­це Dat хра­нят­ся дан­ные из­ме­ре­ний сред­не­су­точ­ной тем­пе­ра­ту­ры за 10 дней в гра­ду­сах (Dat[1] — дан­ные за пер­вый день, Dat[2] — за вто­рой и т. д.). Опре­де­ли­те, какое число будет на­пе­ча­та­но в ре­зуль­та­те ра­бо­ты сле­ду­ю­щей про­грам­мы. Текст про­грам­мы при­ведён на трёх язы­ках про­грам­ми­ро­ва­ния.

 

Ал­го­рит­ми­че­ский язык

Бей­сик

Пас­каль

алг

нач

цел­таб Dat[1:10]

цел к, m

Dat[1] := 12

Dat[2] := 15

Dat[3] := 17

Dat[4] := 15

Dat[5] := 14

Dat[6] := 12

Dat[7] := 10

Dat[8] := 13

Dat[9] := 14

Dat[10] := 15

m := 0

нц для к от 1 до 10

если Dat[к] m то

m : = Dat[к]

все

КЦ

вывод m

КОН

DIM Dat(10) AS INTEGER

DIM k,m AS INTEGER

Dat(1) = 12: Dat(2) = 15

Dat(3) = 17: Dat(4) = 15

Dat(5) = 14: Dat(6) = 12

Dat(7) = 10: Dat(8) = 13

Dat(9) = 14: Dat(10) = 15

m = 0

FOR k := 1 TO 10

IF Dat(k) m THEN

m = Dat(k)

ENDIF

NEXT k

PRINT m

Var k, m: integer;

Dat: array[1..10] of integer;

Begin

Dat[1] := 12; Dat[2] := 15;

Dat[3] := 17; Dat[4] := 15;

Dat[5] := 14; Dat[6] := 12;

Dat[7] := 10; Dat[8] := 13;

Dat[9] := 14; Dat[10] := 15;

m := 0;

for k := 1 to 10 do

if Dat[k] m then

begin

m := Dat[k]

end;

writeln(m);

End.

11.   На ри­сун­ке — схема дорог, свя­зы­ва­ю­щих го­ро­да А, Б, В, Г, Д, Е, К. По каж­дой до­ро­ге можно дви­гать­ся толь­ко в одном на­прав­ле­нии, ука­зан­ном стрел­кой. Сколь­ко су­ще­ству­ет раз­лич­ных путей из го­ро­да А в город К?

12. Ниже в таб­лич­ной форме пред­став­ле­ны све­де­ния о не­ко­то­рых стра­нах мира:

 

На­зва­ние

Часть света

Форма прав­ле­ния

На­се­ле­ние

(млн чел.)

Маль­та

Ев­ро­па

Рес­пуб­ли­ка

0,4

Гре­ция

Ев­ро­па

Рес­пуб­ли­ка

11,3

Тур­ция

Азия

Рес­пуб­ли­ка

72,5

Та­и­ланд

Азия

Мо­нар­хия

67,4

Ве­ли­ко­бри­та­ния

Ев­ро­па

Мо­нар­хия

62,0

Ма­рок­ко

Аф­ри­ка

Мо­нар­хия

31,9

Еги­пет

Аф­ри­ка

Рес­пуб­ли­ка

79,0

Куба

Аме­ри­ка

Рес­пуб­ли­ка

11,2

Мек­си­ка

Аме­ри­ка

Рес­пуб­ли­ка

108,3

 

Сколь­ко за­пи­сей в дан­ном фраг­мен­те удо­вле­тво­ря­ют усло­вию

 

(Часть света = «Аф­ри­ка») ИЛИ (На­се­ле­ние 50,0)?

 

В от­ве­те ука­жи­те одно число — ис­ко­мое ко­ли­че­ство за­пи­сей.

13. Пе­ре­ве­ди­те число 125 из де­ся­тич­ной си­сте­мы счис­ле­ния в дво­ич­ную си­сте­му счис­ле­ния. Сколь­ко еди­ниц со­дер­жит по­лу­чен­ное число? В от­ве­те ука­жи­те одно число — ко­ли­че­ство еди­ниц.

14. У ис­пол­ни­те­ля Вы­чис­ли­тель две ко­ман­ды, ко­то­рым при­сво­е­ны но­ме­ра:

 1. умножь на 3

2. вычти 5

 Пер­вая из них уве­ли­чи­ва­ет число на экра­не в 3 раза, вто­рая умень­ша­ет его на 5. Со­ставь­те ал­го­ритм по­лу­че­ния из числа 8 числа 36, со­дер­жа­щий не более 5 ко­манд. В от­ве­те за­пи­ши­те толь­ко но­ме­ра ко­манд. (На­при­мер, 11221 — это ал­го­ритм умножь на 3, умножь на 3, вычти 5, вычти 5, умножь на 3, ко­то­рый пре­об­ра­зу­ет число 2 в 24.) Если таких ал­го­рит­мов более од­но­го, то за­пи­ши­те любой из них.

15. Файл раз­ме­ром 4000 Кбайт пе­ре­даётся через не­ко­то­рое со­еди­не­ние в те­че­ние 1 ми­ну­ты. Опре­де­ли­те раз­мер файла (в Кбайт), ко­то­рый можно пе­ре­дать через это со­еди­не­ние за 45 се­кунд. В от­ве­те ука­жи­те одно число — раз­мер файла в Кбайт. Еди­ни­цы из­ме­ре­ния пи­сать не нужно.

16. Не­ко­то­рый ал­го­ритм из одной це­поч­ки сим­во­лов по­лу­ча­ет новую це­поч­ку сле­ду­ю­щим об­ра­зом. Сна­ча­ла вы­чис­ля­ет­ся длина ис­ход­ной це­поч­ки сим­во­лов; если она нечётна, то уда­ля­ет­ся сред­ний сим­вол це­поч­ки, а если чётна, то в конец це­поч­ки до­бав­ля­ет­ся сим­вол У. В по­лу­чен­ной це­поч­ке сим­во­лов каж­дая буква за­ме­ня­ет­ся бук­вой, сле­ду­ю­щей за ней в рус­ском ал­фа­ви­те (А — на Б, Б — на В и т. д., а Я — на А). По­лу­чив­ша­я­ся таким об­ра­зом це­поч­ка яв­ля­ет­ся ре­зуль­та­том ра­бо­ты ал­го­рит­ма.

На­при­мер, если ис­ход­ной была це­поч­ка РУКА, то ре­зуль­та­том ра­бо­ты ал­го­рит­ма будет це­поч­каСФЛБФ, а если ис­ход­ной была це­поч­ка СОН, то ре­зуль­та­том ра­бо­ты ал­го­рит­ма будет це­поч­ка ТО.

Дана це­поч­ка сим­во­лов ТОН. Какая це­поч­ка сим­во­лов по­лу­чит­ся, если к дан­ной це­поч­ке при­ме­нить опи­сан­ный ал­го­ритм два­жды (т. е. при­ме­нить ал­го­ритм к дан­ной це­поч­ке, а затем к ре­зуль­та­ту вновь при­ме­нить ал­го­ритм)? Рус­ский ал­фа­вит: АБВ­ГДЕЁЖЗИЙ­КЛМ­НОПР­СТУ­ФХ­ЦЧ­Ш­ЩЪ­Ы­Ь­Э­ЮЯ.

17. До­ступ к файлу monkey.jpg, на­хо­дя­ще­му­ся на сер­ве­ре animals.ru, осу­ществ­ля­ет­ся по про­то­ко­лу http. Фраг­мен­ты ад­ре­са файла за­ко­ди­ро­ва­ны бук­ва­ми от А до Ж. За­пи­ши­те по­сле­до­ва­тель­ность этих букв, ко­ди­ру­ю­щую адрес ука­зан­но­го файла в сети Ин­тер­нет.

 

A) http Б) ://

B) animals. Г) /

Д) monkey Е) ru Ж) .jpg

18. В таб­ли­це при­ве­де­ны за­про­сы к по­ис­ко­во­му сер­ве­ру. Рас­по­ло­жи­те обо­зна­че­ния за­про­сов в по­ряд­ке воз­рас­та­ния ко­ли­че­ства стра­ниц, ко­то­рые найдёт по­ис­ко­вый сер­вер по каж­до­му за­про­су. Для обо­зна­че­ния ло­ги­че­ской опе­ра­ции «ИЛИ» в за­про­се ис­поль­зу­ет­ся сим­вол «|», а для ло­ги­че­ской опе­ра­ции «И» — «&»:

 

Код

За­прос

А

гуппи | ска­ля­рии

Б

(гуппи & ска­ля­рии) & (корм­ле­ние | ле­че­ние)

В

гуппи

Г

гуппи & ска­ля­рии





Вариант № 4

1.  В одном из из­да­ний книги Л.Н. Тол­сто­го «Война и мир» 1024 стра­ни­цы. Какой объём па­мя­ти (в Мбайт) за­ня­ла бы эта книга, если бы Лев Ни­ко­ла­е­вич на­би­рал её на ком­пью­те­ре в одной из ко­ди­ро­вок Unicode? На одной стра­ни­це в сред­нем по­ме­ща­ет­ся 64 стро­ки, а в стро­ке 64 сим­во­ла. (Каж­дый сим­вол в ко­ди­ров­ке Unicode за­ни­ма­ет 16 бит па­мя­ти.)

 

1) 4

2) 8

3) 32

4) 8192

2. Для ка­ко­го из при­ведённых зна­че­ний числа X ис­тин­но вы­ска­зы­ва­ние: НЕ(X  5)И (X  4)?

 

1) 4

2) 5

3) 6

4) 7

3. Между населёнными пунк­та­ми A, B, C, D, E по­стро­е­ны до­ро­ги, про­тяжённость ко­то­рых (в км) при­ве­де­на в таб­ли­це.

 

Опре­де­ли­те длину крат­чай­ше­го пути между пунк­та­ми A и Е. Пе­ре­дви­гать­ся можно толь­ко по до­ро­гам, про­тяжённость ко­то­рых ука­за­на в таб­ли­це.

 

1) 4 2) 5

3) 6 4) 7

4. В не­ко­то­ром ка­та­ло­ге хра­нил­ся файл Вьюга.doc, имев­ший пол­ное имяD:\2013\Зима\Вьюга.doc В этом ка­та­ло­ге со­зда­ли под­ка­та­лог Ян­варь и файл Вьюга.doc пе­ре­ме­сти­ли в со­здан­ный под­ка­та­лог. Ука­жи­те пол­ное имя этого файла после пе­ре­ме­ще­ния.

 

1) D:\Ян­варь\Вьюга.doc

2) D:\2013\Зима\Вьюга.doc

3) D:\2013\Ян­варь\Вьюга.doc

4) D:\2013\Зима\Ян­варь\Вьюга.doc

5. Дан фраг­мент элек­трон­ной таб­ли­цы:

 


A

B

C

D

1

3

7

2

9

2

=С1+А1

=В1-2

=А1+С1/2


 Какая из фор­мул, при­ведённых ниже, может быть за­пи­са­на в ячей­ке D2, чтобы по­стро­ен­ная после вы­пол­не­ния вы­чис­ле­ний диа­грам­ма по зна­че­ни­ям диа­па­зо­на ячеек A2:D2 со­от­вет­ство­ва­ла ри­сун­ку?

 

1) =D1+1

2) =А1+С1

3) =D1-B1

4) =A1*D1

6. Ис­пол­ни­тель Чертёжник пе­ре­ме­ща­ет­ся на ко­ор­ди­нат­ной плос­ко­сти, остав­ляя след в виде линии. Чертёжник может вы­пол­нять ко­ман­ду Сме­стить­ся на (a, b) (где a, b — целые числа), пе­ре­ме­ща­ю­щую Чертёжника из точки с ко­ор­ди­на­та­ми (x, у) в точку с ко­ор­ди­на­та­ми (x + а, у + b). Если числа a, b по­ло­жи­тель­ные, зна­че­ние со­от­вет­ству­ю­щей ко­ор­ди­на­ты уве­ли­чи­ва­ет­ся; если от­ри­ца­тель­ные, умень­ша­ет­ся.

 

На­при­мер, если Чертёжник на­хо­дит­ся в точке с ко­ор­ди­на­та­ми (4, 2), то ко­ман­да Сме­стить­ся на(2, −3) пе­ре­ме­стит Чертёжника в точку (6, −1).

 За­пись

По­вто­ри k раз

Ко­ман­да1 Ко­ман­да2 Ко­ман­даЗ

Конец

озна­ча­ет, что по­сле­до­ва­тель­ность ко­манд Ко­ман­да1 Ко­ман­да2 Ко­ман­даЗ по­вто­рит­ся k раз.

 

Чертёжнику был дан для ис­пол­не­ния сле­ду­ю­щий ал­го­ритм:

По­вто­ри 5 paз

Сме­стить­ся на (1, 2) Сме­стить­ся на (−2, 2) Сме­стить­ся на (2, −3) Конец

 

Какую ко­ман­ду надо вы­пол­нить Чертёжнику, чтобы вер­нуть­ся в ис­ход­ную точку, из ко­то­рой он начал дви­же­ние?

 

1) Сме­стить­ся на (−5, −2)

2) Сме­стить­ся на (−3, −5)

3) Сме­стить­ся на (−5, −4)

4) Сме­стить­ся на (−5, −5)

7. От раз­вед­чи­ка была по­лу­че­на сле­ду­ю­щая шиф­ро­ван­ная ра­дио­грам­ма, пе­ре­дан­ная с ис­поль­зо­ва­ни­ем аз­бу­ки Морзе:

 

• – – • • • – • • – – • • – • – –

 

При пе­ре­да­че ра­дио­грам­мы было по­те­ря­но раз­би­е­ние на буквы, но из­вест­но, что в ра­дио­грам­ме ис­поль­зо­ва­лись толь­ко сле­ду­ю­щие буквы:

 

А

Д

Л

Т

Ж

• –

– • •

• – • •

• • • –

 

Опре­де­ли­те текст ра­дио­грам­мы. В от­ве­те ука­жи­те, сколь­ко букв было в ис­ход­ной ра­дио­грам­ме.

8. В про­грам­ме «:=» обо­зна­ча­ет опе­ра­тор при­сва­и­ва­ния, знаки «+», «-», «*» и «/» — со­от­вет­ствен­но опе­ра­ции сло­же­ния, вы­чи­та­ния, умно­же­ния и де­ле­ния. Пра­ви­ла вы­пол­не­ния опе­ра­ций и по­ря­док дей­ствий со­от­вет­ству­ют пра­ви­лам ариф­ме­ти­ки. Опре­де­ли­те зна­че­ние пе­ре­мен­ной b после вы­пол­не­ния ал­го­рит­ма:

 

а := 3

b := 8

а := b - a*2

b := 24/a*4

 

В от­ве­те ука­жи­те одно целое число — зна­че­ние пе­ре­мен­ной b.

9. Опре­де­ли­те, что будет на­пе­ча­та­но в ре­зуль­та­те ра­бо­ты сле­ду­ю­щей про­грам­мы. Текст про­грам­мы при­ведён на трёх язы­ках про­грам­ми­ро­ва­ния.

 

Ал­го­рит­ми­че­ский язык

Бей­сик

Пас­каль

алг

нач

цел s, k

s:=0

нц для k от 3 до 10

s:=s+13

кц

вывод s

кон

DIM s,k AS INTEGER

s = 0

FOR k = 3 TO 10

s= s+13

NEXT k

PRINT s

END

Var u,i: integer;

Var s, k: integer;

Begin

s:=0;

for k:=3 to 10 do

s:=s+13;

write(s);

End.

10. В таб­ли­це Dat хра­нят­ся дан­ные о ко­ли­че­стве дет­ских празд­ни­ков, ко­то­рые про­во­ди­ло кафе за по­след­ний год (Dat[1] — ко­ли­че­ство дет­ских празд­ни­ков в ян­ва­ре, Dat[2] — ко­ли­че­ство празд­ни­ков в фев­ра­ле и т. д.). Опре­де­ли­те, что будет на­пе­ча­та­но в ре­зуль­та­те вы­пол­не­ния сле­ду­ю­ще­го ал­го­рит­ма, за­пи­сан­но­го на трёх ал­го­рит­ми­че­ских язы­ках.

 

Ал­го­рит­ми­че­ский язык

Бей­сик

Пас­каль

алг

нач

цел­таб Dat[1:12]

цел к, m, month

Dat[1] := 2

Dat[2] := 8

Dat[3] := 6

Dat[4] := 3

Dat[5] := 8

Dat[6] := 2

Dat[7] := 3

Dat[8] := 7

Dat[9] := 4

Dat[10] := 4

Dat[11] := 8

Dat[12] := 7

month:=1; m := Dat[1]

нц для к от 2 до 6

если Dat[к] m то

m:= Dat[k]

month := k

все

КЦ

вывод month

КОН

DIM Dat(12) AS INTEGER

Dat[1] = 2

Dat[2] = 8

Dat[3] = 6

Dat[4] = 3

Dat[5] = 8

Dat[6] = 2

Dat[7] = 3

Dat[8] = 7

Dat[9] = 4

Dat[10] = 4

Dat[11] = 8

Dat[12] = 7

month = 1: m = Dat(1)

FOR k = 2 TO 6

IF Dat(k) m THEN

m = Dat(k)

month = k

END IF

NEXT k

PRINT month

END

Var k, m, month: integer;

Dat: array[1...12] of integer;

Begin

Dat[1] := 2

Dat[2] := 8

Dat[3] := 6

Dat[4] := 3

Dat[5] := 8

Dat[6] := 2

Dat[7] := 3

Dat[8] := 7

Dat[9] := 4

Dat[10] := 4

Dat[11] := 8

Dat[12] := 7

month:=1; m := Dat[1];

for k := 2 to 6 do

if Dat[k] m then

begin

m:= Dat[k];

month := k;

end;

write(month);

End.



11. На ри­сун­ке изоб­ра­же­на схема дорог, свя­зы­ва­ю­щих го­ро­да A, B, C, D, E, F, G. По каж­дой до­ро­ге можно дви­гать­ся толь­ко в одном на­прав­ле­нии, ука­зан­ном стрел­кой. Сколь­ко су­ще­ству­ет раз­лич­ных путей из го­ро­да A в город D?

 

12. Ниже в таб­лич­ной форме пред­став­лен фраг­мент базы дан­ных «От­прав­ле­ние по­ез­дов даль­не­го сле­до­ва­ния»:

 

Пункт на­зна­че­ния

Ка­те­го­рия по­ез­да

Время в пути

Вок­зал

Рига

ско­рый

15:45

Риж­ский

Ро­стов

фир­мен­ный

17:36

Ка­зан­ский

Са­ма­ра

фир­мен­ный

14:20

Ка­зан­ский

Са­ма­ра

ско­рый

17:40

Ка­зан­ский

Са­ма­ра

ско­рый

15:56

Ка­зан­ский

Са­ма­ра

ско­рый

15:56

Па­ве­лец­кий

Са­ма­ра

фир­мен­ный

23:14

Кур­ский

Санкт-Пе­тер­бург

ско­рый

8:00

Ле­нин­град­ский

Санкт-Пе­тер­бург

ско­рост­ной

4:00

Ле­нин­град­ский

Са­ра­тов

ско­рый

14:57

Па­ве­лец­кий

Са­ра­тов

пас­са­жир­ский

15:58

Па­ве­лец­кий

Са­ра­тов

ско­рый

15:30

Па­ве­лец­кий

 

Сколь­ко за­пи­сей в дан­ном фраг­мен­те удо­вле­тво­ря­ют усло­вию

 

(Ка­те­го­рия по­ез­да = «фир­мен­ный») ИЛИ (Вок­зал = «Ка­зан­ский»)?

 

В от­ве­те ука­жи­те одно число — ис­ко­мое ко­ли­че­ство за­пи­сей.

13. Пе­ре­ве­ди­те число 10101001 из дво­ич­ной си­сте­мы счис­ле­ния в де­ся­тич­ную си­сте­му счис­ле­ния. В от­ве­те на­пи­ши­те по­лу­чен­ное число.

14. У ис­пол­ни­те­ля Вы­чис­ли­тель две ко­ман­ды, ко­то­рым при­сво­е­ны но­ме­ра:

 

1. умножь на 3

2. вычти 5

 

Пер­вая из них уве­ли­чи­ва­ет число на экра­не в 3 раза, вто­рая умень­ша­ет его на 5. Со­ставь­те ал­го­ритм по­лу­че­ния из числа 14 числа 31, со­дер­жа­щий не более 5 ко­манд. В от­ве­те за­пи­ши­те толь­ко но­ме­ра ко­манд. (На­при­мер, 11221 — это ал­го­ритм умножь на 3, умножь на 3, вычти 5, вычти 5, умножь на 3, ко­то­рый пре­об­ра­зу­ет число 2 в 24.) Если таких ал­го­рит­мов более од­но­го, то за­пи­ши­те любой из них.

15. Файл раз­ме­ром 25 Мбайт пе­ре­даётся через не­ко­то­рое со­еди­не­ние за 8 минут. Опре­де­ли­те раз­мер файла (в Мбайт), ко­то­рый можно пе­ре­дать через это же со­еди­не­ние за 2400 се­кунд. В от­ве­те ука­жи­те одно число — раз­мер файла в Мбайт. Еди­ни­цы из­ме­ре­ния пи­сать не нужно.

16. Не­ко­то­рый ал­го­ритм из одной це­поч­ки сим­во­лов по­лу­ча­ет новую це­поч­ку сле­ду­ю­щим об­ра­зом. Сна­ча­ла вы­чис­ля­ет­ся длина ис­ход­ной це­поч­ки сим­во­лов; если она нечётна, то дуб­ли­ру­ет­ся сред­ний сим­вол це­поч­ки сим­во­лов, а если чётна, то в на­ча­ло це­поч­ки до­бав­ля­ет­ся буква Г. В по­лу­чен­ной це­поч­ке сим­во­лов каж­дая буква за­ме­ня­ет­ся бук­вой, сле­ду­ю­щей за ней в рус­ском ал­фа­ви­те (А — на Б, Б — на В и т. д., а Я — на А). По­лу­чив­ша­я­ся таким об­ра­зом це­поч­ка яв­ля­ет­ся ре­зуль­та­том ра­бо­ты ал­го­рит­ма.

На­при­мер, если ис­ход­ной была це­поч­ка КОТ, то ре­зуль­та­том ра­бо­ты ал­го­рит­ма будет це­поч­каЛППУ, а если ис­ход­ной была це­поч­ка ВАНЯ, то ре­зуль­та­том ра­бо­ты ал­го­рит­ма будет це­поч­каДГБОА.

Дана це­поч­ка сим­во­лов МОСТ. Какая це­поч­ка сим­во­лов по­лу­чит­ся, если к дан­ной це­поч­ке при­ме­нить опи­сан­ный ал­го­ритм два­жды (т. е. при­ме­нить ал­го­ритм к дан­ной це­поч­ке, а затем к ре­зуль­та­ту вновь при­ме­нить ал­го­ритм)? Рус­ский ал­фа­вит: АБВ­ГДЕЁЖЗИЙ­КЛМ­НОПР­СТУ­ФХ­ЦЧ­Ш­ЩЪ­Ы­Ь­Э­ЮЯ.

17. До­ступ к файлу Mozart.mp3, на­хо­дя­ще­му­ся на сер­ве­ре classic.ru, осу­ществ­ля­ет­ся по про­то­ко­лу http. Фраг­мен­ты ад­ре­са файла за­ко­ди­ро­ва­ны бук­ва­ми от А до Ж. За­пи­ши­те по­сле­до­ва­тель­ность этих букв, ко­ди­ру­ю­щую адрес ука­зан­но­го файла в сети Ин­тер­нет.

 

А) ru Б) .mp3

В) / Г) classic.

Д) Mozart Е) http

Ж) ://

18. В таб­ли­це при­ве­де­ны за­про­сы к по­ис­ко­во­му сер­ве­ру. Рас­по­ло­жи­те коды за­про­сов в по­ряд­ке воз­рас­та­ния ко­ли­че­ства стра­ниц, ко­то­рые нашёл по­ис­ко­вый сер­вер по каж­до­му за­про­су. Для обо­зна­че­ния ло­ги­че­ской опе­ра­ции «ИЛИ» в за­про­се ис­поль­зу­ет­ся сим­вол «|», а для ло­ги­че­ской опе­ра­ции «И» — «&»:

 

Код

За­прос

А

рас­ска­зы & Тол­стой & Чехов & по­ве­сти

Б

(рас­ска­зы | Тол­стой) & (Чехов | по­ве­сти)

В

(рас­ска­зы | Тол­стой) & Чехов

Г

Тол­стой | рас­ска­зы | по­ве­сти





Вариант № 5

1. В одной из ко­ди­ро­вок Unicode каж­дый сим­вол ко­ди­ру­ет­ся 16 би­та­ми. Опре­де­ли­те раз­мер сле­ду­ю­ще­го пред­ло­же­ния в дан­ной ко­ди­ров­ке: Слух обо мне пройдёт по всей Руси ве­ли­кой.

 

1) 672 бит

2) 42 байт

3) 336 байт

4) 84 бит

2. Для ка­ко­го из при­ведённых имён ис­тин­но вы­ска­зы­ва­ние:

НЕ (Тре­тья буква глас­ная) И (По­след­няя буква со­глас­ная)?

 

1) Иван

2) Ксе­ния

3) Ма­ри­на

4) Мат­вей

3. Иван-Ца­ре­вич спе­шит вы­ру­чить Марью-Ца­рев­ну из плена Кощея. В таб­ли­це ука­за­на про­тяжённость дорог между пунк­та­ми, через ко­то­рые он может прой­ти. Ука­жи­те длину са­мо­го длин­но­го участ­ка крат­чай­ше­го пути от Ивана-Ца­ре­ви­ча до Марьи Ца­рев­ны (от точки И до точки М). Пе­ре­дви­гать­ся можно толь­ко по до­ро­гам, ука­зан­ным в таб­ли­це:

 

 

1) 1

2) 2

3) 3

4) 6

4. В не­ко­то­ром ка­та­ло­ге хра­нил­ся файл Вьюга.doc, имев­ший пол­ное имяD:\2013\Зима\Вьюга.doc В этом ка­та­ло­ге со­зда­ли под­ка­та­лог Ян­варь и файл Вьюга.doc пе­ре­ме­сти­ли в со­здан­ный под­ка­та­лог. Ука­жи­те пол­ное имя этого файла после пе­ре­ме­ще­ния.

 

1) D:\Ян­варь\Вьюга.doc

2) D:\2013\Зима\Вьюга.doc

3) D:\2013\Ян­варь\Вьюга.doc

4) D:\2013\Зима\Ян­варь\Вьюга.doc


5. Дан фраг­мент элек­трон­ной таб­ли­цы:

 


A

B

C

D

1

5

7

8

1

2


=C1-2*D1

=С1-А1

=А1*2-В1

 

Какая из фор­мул, при­ведённых ниже, может быть за­пи­са­на в ячей­ке A2, чтобы по­стро­ен­ная после вы­пол­не­ния вы­чис­ле­ний диа­грам­ма по зна­че­ни­ям диа­па­зо­на ячеек A2:D2 со­от­вет­ство­ва­ла ри­сун­ку?

 

1) =(С1-В1) *2

2) =D1*4

3) =B1-D1

4) =(C1-2*D1)/2

6. Ис­пол­ни­тель Му­ра­вей пе­ре­ме­ща­ет­ся по полю, раз­делённому на клет­ки. Раз­мер поля 8x8, стро­ки ну­ме­ру­ют­ся чис­ла­ми, столб­цы обо­зна­ча­ют­ся бук­ва­ми. Му­ра­вей может вы­пол­нять ко­ман­ды дви­же­ния:

 

Вверх N,

Вниз N,

Впра­во N,

Влево N

 

(где N — целое число от 1 до 7), пе­ре­ме­ща­ю­щие ис­пол­ни­те­ля на N кле­ток вверх, вниз, впра­во или влево со­от­вет­ствен­но.

 

За­пись

 

По­вто­ри k раз

Ко­ман­да1 Ко­ман­да2 Ко­ман­даЗ

кц

 

озна­ча­ет, что по­сле­до­ва­тель­ность ко­манд Ко­ман­да1 Ко­ман­да2 Ко­ман­даЗ по­вто­рит­ся k раз. Если на пути Му­ра­вья встре­ча­ет­ся кубик, то он пе­ре­ме­ща­ет его по ходу дви­же­ния. Пусть, на­при­мер, кубик на­хо­дит­ся в клет­ке Е5, а му­ра­вей — в клет­ке Ж4. Если Му­ра­вей вы­пол­нит ко­ман­ды влево 1 вверх 2, то сам он ока­жет­ся в клет­ке Е6, а кубик — в клет­ке Е7.

 

 

Пусть Му­ра­вей и кубик рас­по­ло­же­ны так, как ука­за­но на ри­сун­ке. Му­ра­вью был дан для ис­пол­не­ния сле­ду­ю­щий ал­го­ритм:

 

по­вто­ри 2 раз

вверх 1 влево 2 вниз 1

кц

 

В какой клет­ке ока­жет­ся кубик после вы­пол­не­ния этого ал­го­рит­ма?

 

1) Б5

2) В5

3) А5

4) Б4

7. Раз­вед­чик пе­ре­дал в штаб ра­дио­грам­му

 

•––•••–••––••–•––

 

В этой ра­дио­грам­ме со­дер­жит­ся по­сле­до­ва­тель­ность букв, в ко­то­рой встре­ча­ют­ся толь­ко буквы А, Д, Ж, Л, Т. Каж­дая буква за­ко­ди­ро­ва­на с по­мо­щью аз­бу­ки Морзе. Раз­де­ли­те­лей между ко­да­ми букв нет. За­пи­ши­те в от­ве­те пе­ре­дан­ную по­сле­до­ва­тель­ность букв. Нуж­ный фраг­мент аз­бу­ки Морзе при­ведён ниже:

 

8. В ал­го­рит­ме, за­пи­сан­ном ниже, ис­поль­зу­ют­ся пе­ре­мен­ные a и b. Сим­вол «:=» обо­зна­ча­ет опе­ра­тор при­сва­и­ва­ния, знаки «+», «-», «*» и «/» — со­от­вет­ствен­но опе­ра­ции сло­же­ния, вы­чи­та­ния, умно­же­ния и де­ле­ния. Пра­ви­ла вы­пол­не­ния опе­ра­ций и по­ря­док дей­ствий со­от­вет­ству­ют пра­ви­лам ариф­ме­ти­ки. Опре­де­ли­те зна­че­ние пе­ре­мен­ной a после вы­пол­не­ния ал­го­рит­ма:

 

а := 1

b := 2 + a

b := a + b

а := b/2*2*a - 3

 

В от­ве­те ука­жи­те одно целое число — зна­че­ние пе­ре­мен­ной a.

9. За­пи­ши­те зна­че­ние пе­ре­мен­ной s, по­лу­чен­ное в ре­зуль­та­те ра­бо­ты сле­ду­ю­щей про­грам­мы. Текст про­грам­мы при­ведён на трёх язы­ках про­грам­ми­ро­ва­ния.

 

Ал­го­рит­ми­че­ский язык

Бей­сик

Пас­каль

алг

нач

цел s, k

s := 0

нц для k от 4 до 7

s := s + 8

кц

вывод s

кон

DIM k, s AS INTEGER

s = 0

FOR к = 4 TO 7

s = s + 8

NEXT k

PRINT s

Var s,k: integer;

Begin

s := 0;

for k := 4 to 7 do

s := s + 8;

writeln(s);

End.

10. В таб­ли­це Dat хра­нят­ся дан­ные о ко­ли­че­стве дет­ских празд­ни­ков, ко­то­рые про­во­ди­ло кафе за по­след­ний год (Dat[1] — ко­ли­че­ство дет­ских празд­ни­ков в ян­ва­ре, Dat[2] — ко­ли­че­ство празд­ни­ков в фев­ра­ле и т. д.). Опре­де­ли­те, что будет на­пе­ча­та­но в ре­зуль­та­те вы­пол­не­ния сле­ду­ю­ще­го ал­го­рит­ма, за­пи­сан­но­го на трёх ал­го­рит­ми­че­ских язы­ках.

 

Ал­го­рит­ми­че­ский язык

Бей­сик

Пас­каль

алг

нач

цел­таб Dat[1:12]

цел к, m, month

Dat[1] := 2

Dat[2] := 8

Dat[3] := 6

Dat[4] := 3

Dat[5] := 8

Dat[6] := 2

Dat[7] := 3

Dat[8] := 7

Dat[9] := 8

Dat[10] := 3

Dat[11] := 8

Dat[12] := 7

month:=1; m := Dat[1]

нц для к от 8 до 12

если Dat[к] m то

m:= Dat[k]

month := k

все

КЦ

вывод month

КОН

DIM Dat(12) AS INTEGER

Dat[1] = 2

Dat[2] = 8

Dat[3] = 6

Dat[4] = 3

Dat[5] = 8

Dat[6] = 2

Dat[7] = 3

Dat[8] = 7

Dat[9] = 8

Dat[10] = 3

Dat[11] = 8

Dat[12] = 7

month = 1: m = Dat(1)

FOR k = 8 TO 12

IF Dat(k) m THEN

m = Dat(k)

month = k

END IF

NEXT k

PRINT month

END

Var k, m, month: integer;

Dat: array[1...12] of integer;

Begin

Dat[1] := 2

Dat[2] := 8

Dat[3] := 6

Dat[4] := 3

Dat[5] := 8

Dat[6] := 2

Dat[7] := 3

Dat[8] := 7

Dat[9] := 8

Dat[10] := 3

Dat[11] := 8

Dat[12] := 7

month:=1; m := Dat[1];

for k := 8 to 12 do

if Dat[k] m then

begin

m:= Dat[k];

month := k;

end;

write(month);

End.

11.   На ри­сун­ке изоб­ра­же­на схема со­еди­не­ний, свя­зы­ва­ю­щих пунк­ты А, В, С, D, Е, F. По каж­до­му со­еди­не­нию можно дви­гать­ся толь­ко в одном на­прав­ле­нии, ука­зан­ном стрел­кой. Сколь­ко су­ще­ству­ет раз­лич­ных путей из пунк­та А в пункт F?

12. Ниже в таб­лич­ной форме пред­став­лен фраг­мент базы дан­ных «Ос­нов­ные све­де­ния о не­бес­ных телах».

 

На­зва­ние пла­не­ты

Сред­нее рас­сто­я­ние

от Солн­ца, а.е.

Число

спут­ни­ков

На­ли­чие

ат­мо­сфе­ры

Мер­ку­рий

0,39

0

Следы

Ве­не­ра

0,72

0

Очень плотн.

Земля

1,00

1

Плот­ная

Марс

1,52

2

Раз­ре­жен­ная

Юпи­тер

5,20

16

Очень плотн.

Са­турн

9,54

18

Очень плотн.

Уран

19,19

17

Очень плотн.

Неп­тун

30,07

8

Очень плотн.

Плу­тон

39,52

1

Очень плотн.

 

Сколь­ко за­пи­сей в дан­ном фраг­мен­те удо­вле­тво­ря­ют усло­вию

 

(На­ли­чие ат­мо­сфе­ры = «Очень плотн.») И (Число спут­ни­ков

 

В от­ве­те ука­жи­те одно число — ис­ко­мое ко­ли­че­ство за­пи­сей.

13. Пе­ре­ве­ди­те число 100110111 из дво­ич­ной си­сте­мы счис­ле­ния в де­ся­тич­ную си­сте­му счис­ле­ния.

14. У ис­пол­ни­те­ля Де­ли­тель две ко­ман­ды, ко­то­рым при­сво­е­ны но­ме­ра:

 

1. раз­де­ли на 2

2. вычти 1

 

Пер­вая из них умень­ша­ет число на экра­не в 2 раза, вто­рая умень­ша­ет его на 1. Ис­пол­ни­тель ра­бо­та­ет толь­ко с на­ту­раль­ны­ми чис­ла­ми. Со­ставь­те ал­го­ритм по­лу­че­ния из числа 65 числа 4, со­дер­жа­щий не более 5 ко­манд. В от­ве­те за­пи­ши­те толь­ко но­ме­ра ко­манд. (На­при­мер, 12112 — это ал­го­ритм: раз­де­ли на 2, вычти 1, раз­де­ли на 2, раз­де­ли на 2, вычти 1, ко­то­рый пре­об­ра­зу­ет число 42 в 4.) Если таких ал­го­рит­мов более од­но­го, то за­пи­ши­те любой из них.

15. Файл раз­ме­ром 20 Мбайт пе­ре­даётся через не­ко­то­рое со­еди­не­ние за 140 се­кунд. Опре­де­ли­те раз­мер файла (в Мбай­тах), ко­то­рый можно пе­ре­дать через это же со­еди­не­ние за 1 ми­ну­ту 10 се­кунд. В от­ве­те ука­жи­те одно число — раз­мер файла в Мбай­тах. Еди­ни­цы из­ме­ре­ния пи­сать не нужно.




16. Не­ко­то­рый ал­го­ритм из одной це­поч­ки сим­во­лов по­лу­ча­ет новую це­поч­ку сле­ду­ю­щим об­ра­зом. Сна­ча­ла вы­чис­ля­ет­ся длина ис­ход­ной це­поч­ки сим­во­лов; если она чётна, то в се­ре­ди­ну це­поч­ки сим­во­лов до­бав­ля­ет­ся сим­вол А, а если нечётна, то по­след­ний сим­вол це­поч­ки уда­ля­ет­ся. В по­лу­чен­ной це­поч­ке сим­во­лов каж­дая буква за­ме­ня­ет­ся бук­вой, сле­ду­ю­щей за ней в рус­ском ал­фа­ви­те (А — на Б, Б — на В и т. д., а Я — на А). По­лу­чив­ша­я­ся таким об­ра­зом це­поч­ка яв­ля­ет­ся ре­зуль­та­том ра­бо­ты ал­го­рит­ма.

На­при­мер, если ис­ход­ной была це­поч­ка СОН, то ре­зуль­та­том ра­бо­ты ал­го­рит­ма будет це­поч­каТП, а если ис­ход­ной была це­поч­ка УМ, то ре­зуль­та­том ра­бо­ты ал­го­рит­ма будет це­поч­ка ФБН.

Дана це­поч­ка сим­во­лов ПАРОМ. Какая це­поч­ка сим­во­лов по­лу­чит­ся, если к дан­ной це­поч­ке при­ме­нить опи­сан­ный ал­го­ритм два­жды (т. е. при­ме­нить ал­го­ритм к дан­ной це­поч­ке, а затем к ре­зуль­та­ту вновь при­ме­нить ал­го­ритм)? Рус­ский ал­фа­вит: АБВ­ГДЕЁЖЗИЙ­КЛМ­НОПР­СТУ­ФХ­ЦЧ­Ш­ЩЪ­Ы­Ь­Э­ЮЯ.

17. До­ступ к файлу txt.html, на­хо­дя­ще­му­ся на сер­ве­ре ru.net, осу­ществ­ля­ет­ся по про­то­ко­лу http. Фраг­мен­ты ад­ре­са файла за­ко­ди­ро­ва­ны бук­ва­ми от А до Ж. За­пи­ши­те по­сле­до­ва­тель­ность этих букв, ко­ди­ру­ю­щую адрес ука­зан­но­го файла в сети Ин­тер­нет.

 

А) http

Б) ://

В) .html

Г) txt

Д) /

Е) ru

Ж) .net

18. В таб­ли­це при­ве­де­ны за­про­сы к по­ис­ко­во­му сер­ве­ру. Рас­по­ло­жи­те обо­зна­че­ния за­про­сов в по­ряд­ке воз­рас­та­ния ко­ли­че­ства стра­ниц, ко­то­рые найдёт по­ис­ко­вый сер­вер по каж­до­му за­про­су. Для обо­зна­че­ния ло­ги­че­ской опе­ра­ции «ИЛИ» в за­про­се ис­поль­зу­ет­ся сим­вол «|», а для ло­ги­че­ской опе­ра­ции «И» — «&»:

 

Код

За­прос

А

(гуппи | ска­ля­рии) & (корм­ле­ние | ле­че­ние)

Б

гуппи | ска­ля­рии | корм­ле­ние | ле­че­ние

В

гуппи & ска­ля­рии & корм­ле­ние & ле­че­ние

Г

гуппи | ска­ля­рии













































Вариант № 1

1. 4

2. 1

3. 3

4 2

5. 2

6. 4

7.ГБДАДА

8. 5

9. 32

10. 7

11. 8

12. 7

13. 109

14. 21222

15. 16

16. ЛЕЕТРФ

17. ВЖДГЕАБ

18. ВАГБ


Вариант № 2

1. 4

2. 4

3. 3

4. 4

5. 4

6. 4

7. 5

8. 20

9. 9

10. 30

11. 5

12. 3

13.

14 21212

15. 48

16. 5

17.ЕЖГАВДБ

18. ГБВА


Вариант № 3

1. 4

2. 4

3. 2

4. 2

5. 4

6. 3

7. 5

8. 150

9. 45

10. 17

11. 10

12. 6

13. 6

14. 21211

15. 3000

16. ФПФ

17. АБВЕГДЖ

18. БГВА











Вариант № 4

1. 2

2. 2

3. 2

4. 4

5. 3

6.4

7. 8

8. 48

9. 104

10. 2

11. 7

12. 5

13.169

14. 22112

15. 125

16.ЕОРРУФ

17. ЕЖГАВДБ

18.АВБГ



Вариант № 5

1.1

2. 4

3. 3

4. 4

5. 4

6. 1

7. АДЖЛДЛАЛ

8.1

9. 32

10. 9

11. 6

12. 2

13. 311

14. 21111

15. 10

16. СВБТР

17. АБЕЖДГВ

18. ВАГБ






Получите в подарок сайт учителя

Предмет: Информатика

Категория: Тесты

Целевая аудитория: 10 класс.
Урок соответствует ФГОС

Скачать
Входная контрольная работа по информатике10 класс

Автор: Шашкина Надежда Ивановна

Дата: 31.01.2026

Номер свидетельства: 681389

Похожие файлы

object(ArrayObject)#853 (1) {
  ["storage":"ArrayObject":private] => array(6) {
    ["title"] => string(64) "Входная контрольная работа 8 класс "
    ["seo_title"] => string(37) "vkhodnaia-kontrol-naia-rabota-8-klass"
    ["file_id"] => string(6) "170629"
    ["category_seo"] => string(11) "informatika"
    ["subcategory_seo"] => string(5) "testi"
    ["date"] => string(10) "1423576761"
  }
}
object(ArrayObject)#875 (1) {
  ["storage":"ArrayObject":private] => array(6) {
    ["title"] => string(100) "Входная контрольная работа по информатике для 9 класса"
    ["seo_title"] => string(57) "vkhodnaia_kontrolnaia_rabota_po_informatike_dlia_9_klassa"
    ["file_id"] => string(6) "587106"
    ["category_seo"] => string(11) "informatika"
    ["subcategory_seo"] => string(5) "testi"
    ["date"] => string(10) "1632190768"
  }
}
object(ArrayObject)#853 (1) {
  ["storage":"ArrayObject":private] => array(6) {
    ["title"] => string(125) "Входная контрольная работа по информатике для обучающихся 9 классов"
    ["seo_title"] => string(77) "vkhodnaia_kontrolnaia_rabota_po_informatike_dlia_obuchaiushchikhsia_9_klassov"
    ["file_id"] => string(6) "617494"
    ["category_seo"] => string(11) "informatika"
    ["subcategory_seo"] => string(5) "testi"
    ["date"] => string(10) "1668584990"
  }
}
object(ArrayObject)#875 (1) {
  ["storage":"ArrayObject":private] => array(6) {
    ["title"] => string(92) "Входная контрольная работа по Информатике, 7 класс"
    ["seo_title"] => string(51) "vkhodnaia_kontrolnaia_rabota_po_informatike_7_klass"
    ["file_id"] => string(6) "633814"
    ["category_seo"] => string(11) "informatika"
    ["subcategory_seo"] => string(5) "testi"
    ["date"] => string(10) "1686902007"
  }
}
object(ArrayObject)#853 (1) {
  ["storage":"ArrayObject":private] => array(6) {
    ["title"] => string(190) "Контрольная работа (входная) по информатике за курс 10 класса по ФГОС, УП: авт. Босова А.А., базовый уровень"
    ["seo_title"] => string(80) "kontrolnaia_rabota_vkhodnaia_po_informatike_za_kurs_10_klassa_po_fgos_up_avt_bos"
    ["file_id"] => string(6) "614004"
    ["category_seo"] => string(11) "informatika"
    ["subcategory_seo"] => string(5) "uroki"
    ["date"] => string(10) "1664399152"
  }
}




ПОЛУЧИТЕ СВИДЕТЕЛЬСТВО МГНОВЕННО

Добавить свою работу

* Свидетельство о публикации выдается БЕСПЛАТНО, СРАЗУ же после добавления Вами Вашей работы на сайт

Удобный поиск материалов для учителей

Проверка свидетельства