kopilkaurokov.ru - сайт для учителей

Создайте Ваш сайт учителя Видеоуроки Олимпиады Вебинары для учителей

Урок-закрепление по теме «Сложение чисел с помощью координатной прямой», 6 класс

Нажмите, чтобы узнать подробности

Урок-закрепление по теме «Сложение чисел с помощью координатной прямой», 6 класс

Вы уже знаете о суперспособностях современного учителя?
Тратить минимум сил на подготовку и проведение уроков.
Быстро и объективно проверять знания учащихся.
Сделать изучение нового материала максимально понятным.
Избавить себя от подбора заданий и их проверки после уроков.
Наладить дисциплину на своих уроках.
Получить возможность работать творчески.

Просмотр содержимого документа
«Урок-закрепление по теме «Сложение чисел с помощью координатной прямой», 6 класс»

Урок-закрепление по теме «Сложение чисел с помощью координатной прямой», 6 класс


Цели урока: формировать навык сложения положительных и отрицательных чисел с помощью координатной прямой; прививать аккуратность в работе; развивать культуру выражения мыслей в устной и письменной речи.


Ход урока

I. Организационный момент


II. Устный счет

1. Выполните сложение чисел:

—6,2 и 0; 0 и 3; —2,7 и 2,7; 0 и —9; —12 и 12; 1,23 и —1,23.

2. Сравните числа: а и —а.

3. Два взрослых льва и шесть львят вместе имеют массу 700 кг. Найдите массу взрослого льва, если масса одного львенка 50 кг.


III. Сообщение темы урока

— Сегодня на уроке мы продолжим складывать положительные и отрицательные числа с помощью координатной прямой, будем решать текстовые задачи, повторим модуль числа.


IV. Работа над задачей

1. № учебника (самостоятельно).

— Как найти процентное отношение двух чисел?

Решение:

9 : 15 = 0,6 = 60%

(Ответ: завяло 60% срезанных цветов.)

— Как найти процентное отношение двух чисел?

Решение:

9 : 15 = 0,6 = 60%

(Ответ: завяло 60% срезанных цветов.)

2. № 1036 стр. 175 (на доске и в тетрадях).

— Какую геометрическую фигуру напоминает шкаф? (Прямоугольный параллелепипед.)

— Чему равен объем прямоугольного параллелепипеда? Сколько он имеет измерений? (3.) Запишите формулу объема.

Решение:

V = abc

1) 30% = 0,3; 250% = 2,5

2) 1,8 · 0,3 = 0,54 (м) — глубина шкафа.

3) 0,54 · 2,5 = 1,35 (м) — ширина шкафа.

4) 1,8 · 0,54 · 1,35 = 1,3122 (м3) — объем шкафа.

(Ответ: 1,3122 м3.)


V. Закрепление изученного материала

1. Запиши сумму чисел и найди ее решение с помощью координатной прямой.

— Сравните примеры 1 и 2 столбиков. Что общего? Чем отличаются? Сделайте вывод. (Переместительное свойство сложения действительно и для отрицательных чисел.)

Решение:

2. № № учебника (на доске и в тетрадях).

— Что значит прибавить к числу а число 2? (Значит изменить число а на 2 единицы.)

— Куда будет перемещаться на координатной прямой точка с координатой а? (Вправо на 2 единицы.)

— Что значит прибавить к числу а число —3? (Значит изменить число а на 3 единицы.)

— Куда будет перемещаться на координатной прямой точка с координатой я? (Влево на 3 единицы.)


VI. Физкультминутка


VII. Повторение изученного материала

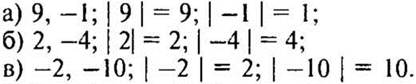
1. № учебника (на доске и в тетрадях).

— Запишите, чему равны модули координат данных чисел.

Ответы:

2. № учебника (с подробным комментированием на доске и в тетрадях).

Ответы:

а) при а 0: —а 0; при а = 0: —а = 0;

б) при а 0: — (—а) 0; при а

3. № 1301 стр. 175 (устно).


VIII. Самостоятельная работа (5—7 мин)

Вариант I

С помощью координатной прямой сложите числа:

1) 4 и —6; 2) 0 и 4;

3) —3 и —1; 4) —5 и 5;

5) —2 и 3; 6) —3 и 0.

Вариант II

С помощью координатной прямой сложите числа:

1) —3 и —2; 2) 0 и 2;

3) 4 и —1; 4) —6 и 6;

5) —3 и 2; 6) —5 и 0.


IX. Подведение итогов урока

— К числу а прибавили число b; как изменится число я, если b положительное, если b отрицательное, если b = 0?

— При прибавлении положительного числа куда передвигаемся по координатной прямой? А при прибавлении отрицательного числа?


Итоги урока. Выставление оценок


Домашнее задание



Получите в подарок сайт учителя

Предмет: Математика

Категория: Уроки

Целевая аудитория: 6 класс

Скачать
Урок-закрепление по теме «Сложение чисел с помощью координатной прямой», 6 класс

Автор: Сабирзянова Елена Васильевна

Дата: 13.02.2026

Номер свидетельства: 681899


Получите в подарок сайт учителя

Видеоуроки для учителей


Распродажа видеоуроков!
ПОЛУЧИТЕ СВИДЕТЕЛЬСТВО МГНОВЕННО

Добавить свою работу

* Свидетельство о публикации выдается БЕСПЛАТНО, СРАЗУ же после добавления Вами Вашей работы на сайт

Удобный поиск материалов для учителей

Проверка свидетельства