kopilkaurokov.ru - сайт для учителей

Создайте Ваш сайт учителя Видеоуроки Олимпиады Вебинары для учителей

Урок по теме «Сравнение, сложение и вычитание дробей с разными знаменателями»,6 класс

Нажмите, чтобы узнать подробности

Урок по теме «Сравнение, сложение и вычитание дробей с разными знаменателями»,6 класс

Вы уже знаете о суперспособностях современного учителя?
Тратить минимум сил на подготовку и проведение уроков.
Быстро и объективно проверять знания учащихся.
Сделать изучение нового материала максимально понятным.
Избавить себя от подбора заданий и их проверки после уроков.
Наладить дисциплину на своих уроках.
Получить возможность работать творчески.

Просмотр содержимого документа
«Урок по теме «Сравнение, сложение и вычитание дробей с разными знаменателями»,6 класс»

Урок по теме «Сравнение, сложение и вычитание дробей с разными знаменателями»,6 класс

Цели урока: повторить правило сравнения дробей с одинаковыми знаменателями, правило нахождения дополнительного множителя, правило сложения и вычитания дробей с одинаковым знаменателем; вывести правила сложения и вычитания дробей с разными знаменателями; научить применять эти правила при решении примеров и задач; развивать математическую речь.

Ход урока

I. Организационный момент


II. Устный счет

1. От ленты длиной 2/3 м нужно отрезать 1/2 м. Как это сделать, не пользуясь линейкой?

Решение:

1) Привести дроби к общему знаменателю 

2) Наша лента длиной 2/3 м разделена на 4 равные части, а нам, чтобы отрезать 1/2 м, нужно взять 3 такие части.

3) Для этого складываем ленту пополам, затем опять пополам. Берем 3 равные части — это и будет 1/2 м.

2. Как из целого вычесть часть?

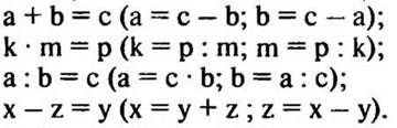
3. Выразите неизвестные переменные:

4. Сосчитайте количество треугольников на чертеже. (3.) Назовите эти треугольники.



5. На веточке сирени 35 цветков, у которых по 4 или по 5 лепестков. Всего лепестков 153.

Сколько цветков с 5 лепестками? (Если бы каждый цветок состоял из 4 лепестков, то лепестков было бы 140. Лишние 13 лепестков принадлежат 13 цветкам с 5 лепестками.)


IV. Индивидуальная работа

1 карточка

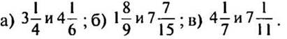
1. Запишите дроби в порядке возрастания: 

2. Сравните дроби: 

3. Приведите к наименьшему общему знаменателю дробные части чисел: 


2 карточка

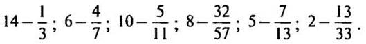
1. Запишите дроби в порядке убывания: 

2. Сравните дроби: 

3. Приведите к наименьшему общему знаменателю дробные части чисел: 


V. Сообщение темы урока


VI. Изучение нового материала

1. Работа над новой темой.

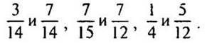
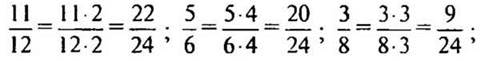
— Приведите дроби 3/4 и 1/3 к НОЗ.

— Выполните действия с полученными дробями:

а) сравните дроби;

б) найдите сумму дробей;

в) найдите разность дробей.

— Обобщите решения и сформулируйте правила сравнения, сложения и вычитания дробей с разными знаменателями.

2. Работа с учебником.

— Прочитайте примеры.

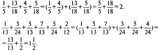
— Найдите значение выражений: 

— Как это удобнее сделать? (Сгруппировать дроби, имеющие одинаковые знаменатели.)


VII. Закрепление изученного материала

№№ из учебника: (с подробным комментированием у доски и в тетрадях).

Решение:

— Для решения примера д) мы применили свойство нуля. Сформулируйте его.

— Запишите это свойство в буквенном виде:

а + 0 - а

а - 0 = а

а - а = 0


VIII. Физкультминутка


IX. Работа над задачей

№№ из учебника: (самостоятельно после разбора).

Это задача на движение вдогонку.

— Что нужно знать, чтобы ответить на вопрос задачи? (Все расстояние между двумя самолетами, то есть на сколько больше второй самолет пролетит, чем первый, и скорость удаления.)

— Что нужно знать, чтобы найти скорость удаления? (Скорость двух самолетов.)

— Что нужно знать, чтобы найти, на сколько больше второй самолет пролетит, чем первый? (Знать расстояние, которое было между двумя самолетами через 0,5 ч после вылета первого, и расстояние, на которое второй самолет будет впереди.)

Решение:

1) 600 · 0,5 = 300 (км) — пролетит первый самолет за 0,5 ч.

2) 750 — 600 = 150 (км/ч) — больше скорость второго самолета, чем первого или скорость удаления.

3) 300 + 225 = 525 (км) - на столько больше километров должен пролететь второй самолет.

4) 525: 150 = 3,5 (4).

(Ответ: через 3,5 ч второй самолет будет впереди первого после своего вылета.)


X. Самостоятельная работа

(Самопроверка, решение на доске.) №№ из учебника.


XI. Закрепление изученного материала

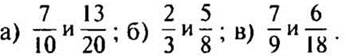
1. №№ из учебника: (у доски и в тетрадях).

— Как сравнивать дроби с разными знаменателями?

— Чему равен НОЗ всех дробей? (НОЗ этих дробей равен 24, так как 24 кратно всем остальным знаменателям.)

Решение:

5/24 к новому знаменателю приводить не надо 

(Ответ:  )

2. №№ из учебника: (у доски и в тетрадях).

— Какая дробь называется правильной?

— Как перевести в правильную дробь?

(Ответ:  )


XII. Подведение итогов урока

— Расскажите, как складывают и вычитают дроби с разными знаменателями.

— Что значит записать дроби в порядке убывания?

— Сравните дроби: 


Выставление оценок.

Домашнее здание.



Получите в подарок сайт учителя

Предмет: Математика

Категория: Уроки

Целевая аудитория: 6 класс

Скачать
Урок по теме «Сравнение, сложение и вычитание дробей с разными знаменателями»,6 класс

Автор: Сабирзянова Елена Васильевна

Дата: 05.12.2025

Номер свидетельства: 678361

Похожие файлы

object(ArrayObject)#863 (1) {
  ["storage":"ArrayObject":private] => array(6) {
    ["title"] => string(190) "Урок по математике для 6 класса по теме "Сравнение, сложение и вычитание дробей с разными знаменателями" "
    ["seo_title"] => string(117) "urok-po-matiematikie-dlia-6-klassa-po-tiemie-sravnieniie-slozhieniie-i-vychitaniie-drobiei-s-raznymi-znamienatieliami"
    ["file_id"] => string(6) "109781"
    ["category_seo"] => string(10) "matematika"
    ["subcategory_seo"] => string(5) "uroki"
    ["date"] => string(10) "1405016687"
  }
}
object(ArrayObject)#885 (1) {
  ["storage":"ArrayObject":private] => array(6) {
    ["title"] => string(121) "« Сравнение, сложение и вычитание дробей с разными знаменателями»"
    ["seo_title"] => string(65) "sravnieniieslozhieniieivychitaniiedrobieisraznymiznamienatieliami"
    ["file_id"] => string(6) "317957"
    ["category_seo"] => string(10) "matematika"
    ["subcategory_seo"] => string(5) "uroki"
    ["date"] => string(10) "1460468638"
  }
}
object(ArrayObject)#863 (1) {
  ["storage":"ArrayObject":private] => array(6) {
    ["title"] => string(181) "Конспект урока математики 6 класс "Сравнение, сложение и вычитание дробей с разными знаменателями" "
    ["seo_title"] => string(108) "konspiekt-uroka-matiematiki-6-klass-sravnieniie-slozhieniie-i-vychitaniie-drobiei-s-raznymi-znamienatieliami"
    ["file_id"] => string(6) "130568"
    ["category_seo"] => string(10) "matematika"
    ["subcategory_seo"] => string(5) "uroki"
    ["date"] => string(10) "1415939870"
  }
}
object(ArrayObject)#885 (1) {
  ["storage":"ArrayObject":private] => array(6) {
    ["title"] => string(44) "РП по математике 6 класс "
    ["seo_title"] => string(26) "rp-po-matiematikie-6-klass"
    ["file_id"] => string(6) "247223"
    ["category_seo"] => string(10) "matematika"
    ["subcategory_seo"] => string(12) "planirovanie"
    ["date"] => string(10) "1446529157"
  }
}
object(ArrayObject)#863 (1) {
  ["storage":"ArrayObject":private] => array(6) {
    ["title"] => string(208) "Конспект урока математики в 6 классе с презентацией по теме "Сложение и вычитание дробей с разными знаменателями" "
    ["seo_title"] => string(129) "konspiekt-uroka-matiematiki-v-6-klassie-s-priezientatsiiei-po-tiemie-slozhieniie-i-vychitaniie-drobiei-s-raznymi-znamienatieliami"
    ["file_id"] => string(6) "122416"
    ["category_seo"] => string(10) "matematika"
    ["subcategory_seo"] => string(5) "uroki"
    ["date"] => string(10) "1414243947"
  }
}


Получите в подарок сайт учителя

Видеоуроки для учителей


ПОЛУЧИТЕ СВИДЕТЕЛЬСТВО МГНОВЕННО

Добавить свою работу

* Свидетельство о публикации выдается БЕСПЛАТНО, СРАЗУ же после добавления Вами Вашей работы на сайт

Удобный поиск материалов для учителей

Проверка свидетельства